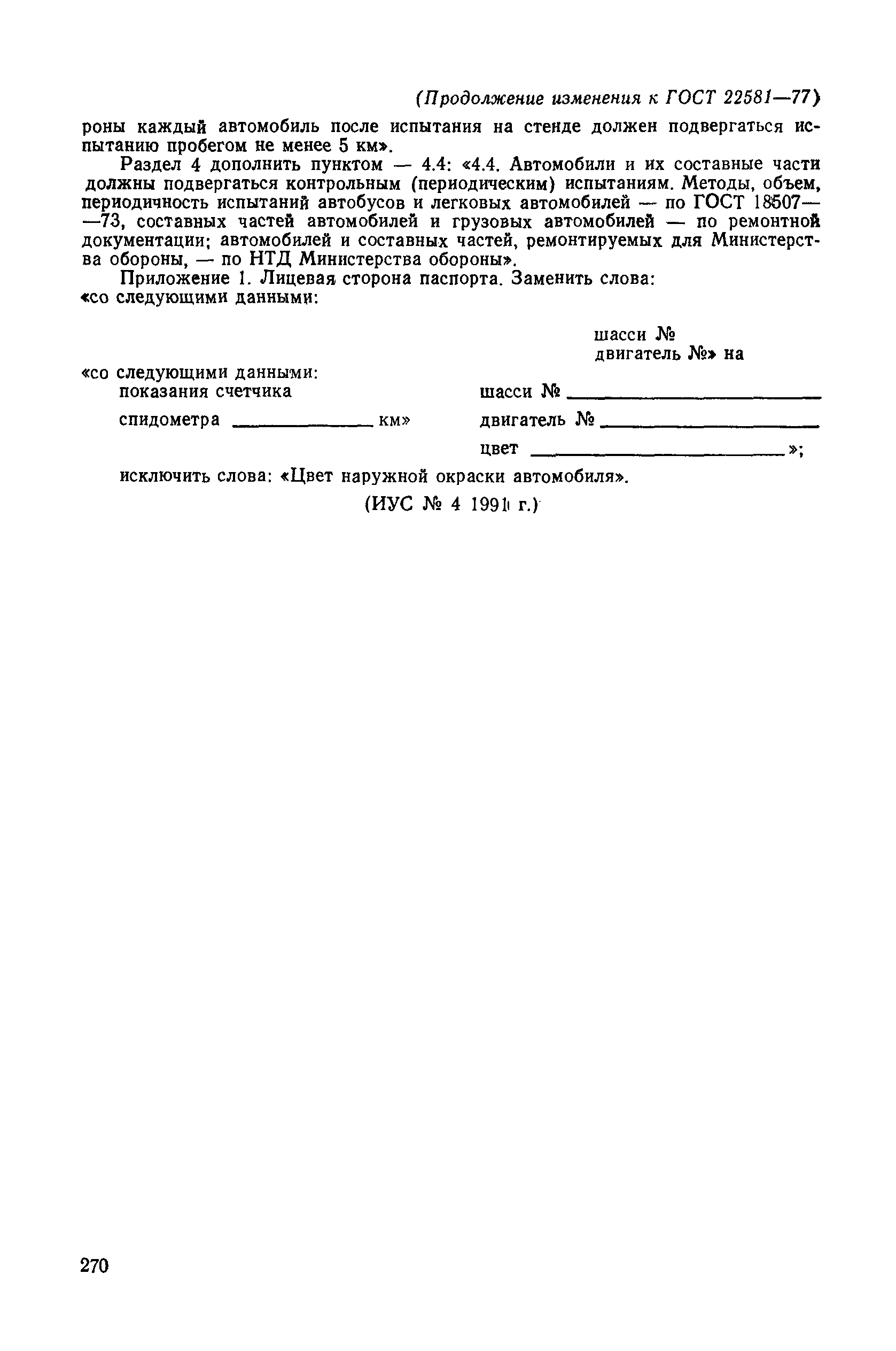
Index of /Data2/0/4294808/4294808618.files

 NameLast modifiedSize

 Parent Directory  -
 0.gif2016-02-15 03:41 23K
 1.gif2016-02-15 03:41 29K
 2.gif2016-02-15 03:41 52K
 3.gif2016-02-15 03:41 37K