|
|
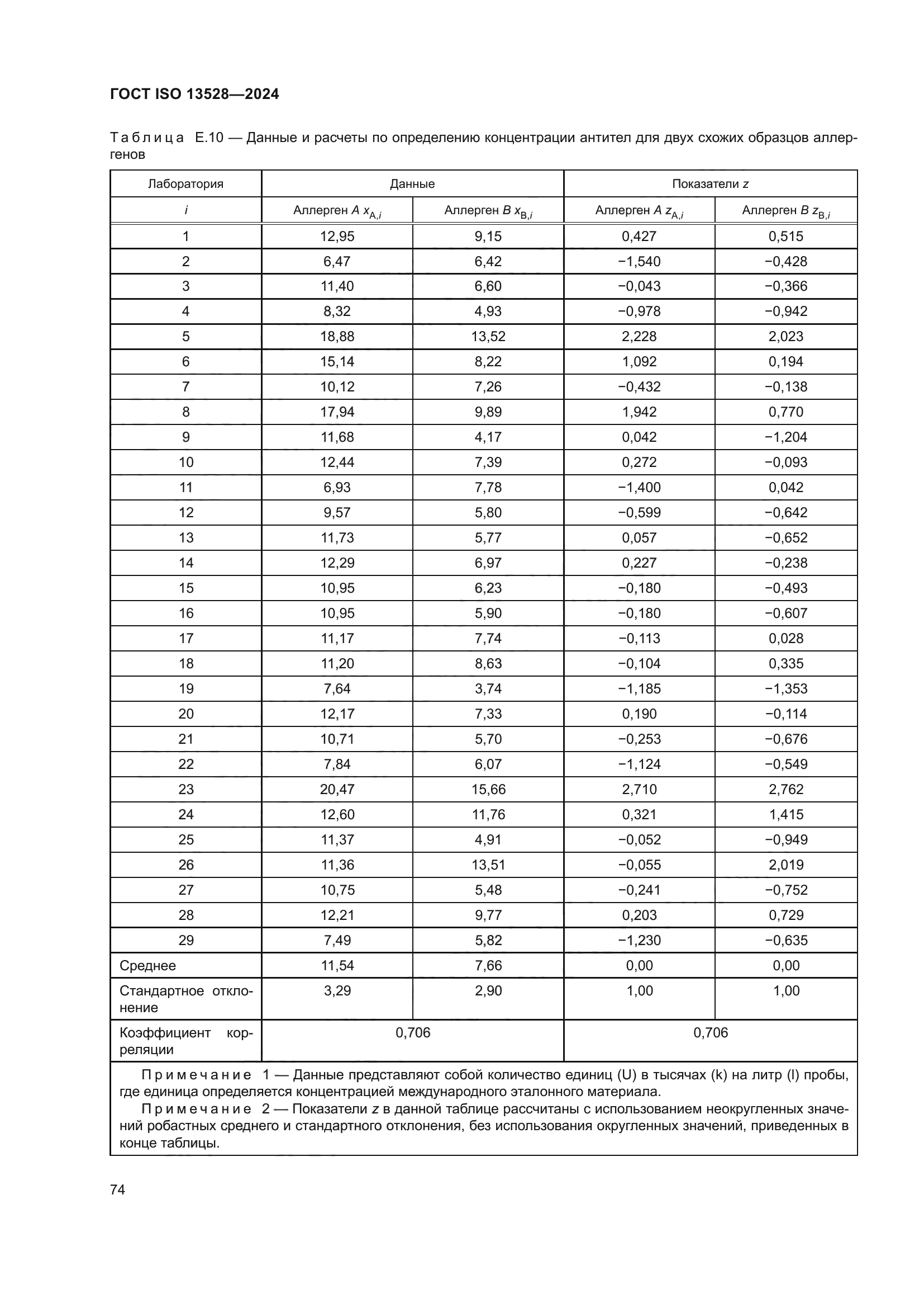
 ГОСТ ISO 13528-2024
Статистические методы. Применение при проверке квалификации посредством межлабораторного сличения
| Обозначение: |  ГОСТ ISO 13528-2024 |
| Статус: | действует |
| Название рус.: | Статистические методы. Применение при проверке квалификации посредством межлабораторного сличения | | Название англ.: | Statistical methods. Use in proficiency testing by interlaboratory comparison | | Дата актуализации текста: | 01.01.2026 | | Дата актуализации описания: | 01.06.2025 | | Дата регистрации: | 27.12.2024 | | Дата издания: | 24.02.2025 | | Дата введения: | 01.01.2026 | | Аутентичен стандартам: | ISO 13528:2022 | | Нормативные ссылки: | ISO 3534-1;ISO 3534-2;ISO 5725-1;ISO/IEC 17043;ISO Guide 30;ISO/IEC Guide 99 | | Область применения: | В настоящем стандарте приведено детальное описание статистических методов, которые провайдеры проверки квалификации могут использовать для разработки программ проверки квалификации и анализа данных, полученных в результате реализации этих программ. Настоящий стандарт включает рекомендации по интерпретации данных проверки квалификации, представленных участниками таких программ и органами по аккредитации. Процедуры, описанные в настоящем стандарте, могут быть применены для демонстрации того, что результаты измерений, полученные лабораториями, контролирующими органами и физическими лицами, соответствуют указанным критериям приемлемого функционирования. Настоящий стандарт применим к проверке квалификации, когда сообщаемые результаты являются либо количественными результатами измерений, либо качественными наблюдениями за исследуемыми образцами | |
| Расположен в: |
|
                                                                                        
|
|