На главную | База 1 | База 2 | База 3
Испытания и Сертификация Испытательный центр Орган по сертификации Строительная экспертиза Обследование зданий Тепловизионный контроль Ультразвуковой контроль Проектные работы Контроль качества строительства Нормативные базы Государственные стандартыДекларация о соответствии Единый перечень продукции ТС Классификатор государственных стандартов Общероссийский классификатор стандартов Обязательная сертификация Окп Тематические сборники Технические регламенты РФ Технические регламенты Таможенного союзаСтроительная документацияТехническая документация

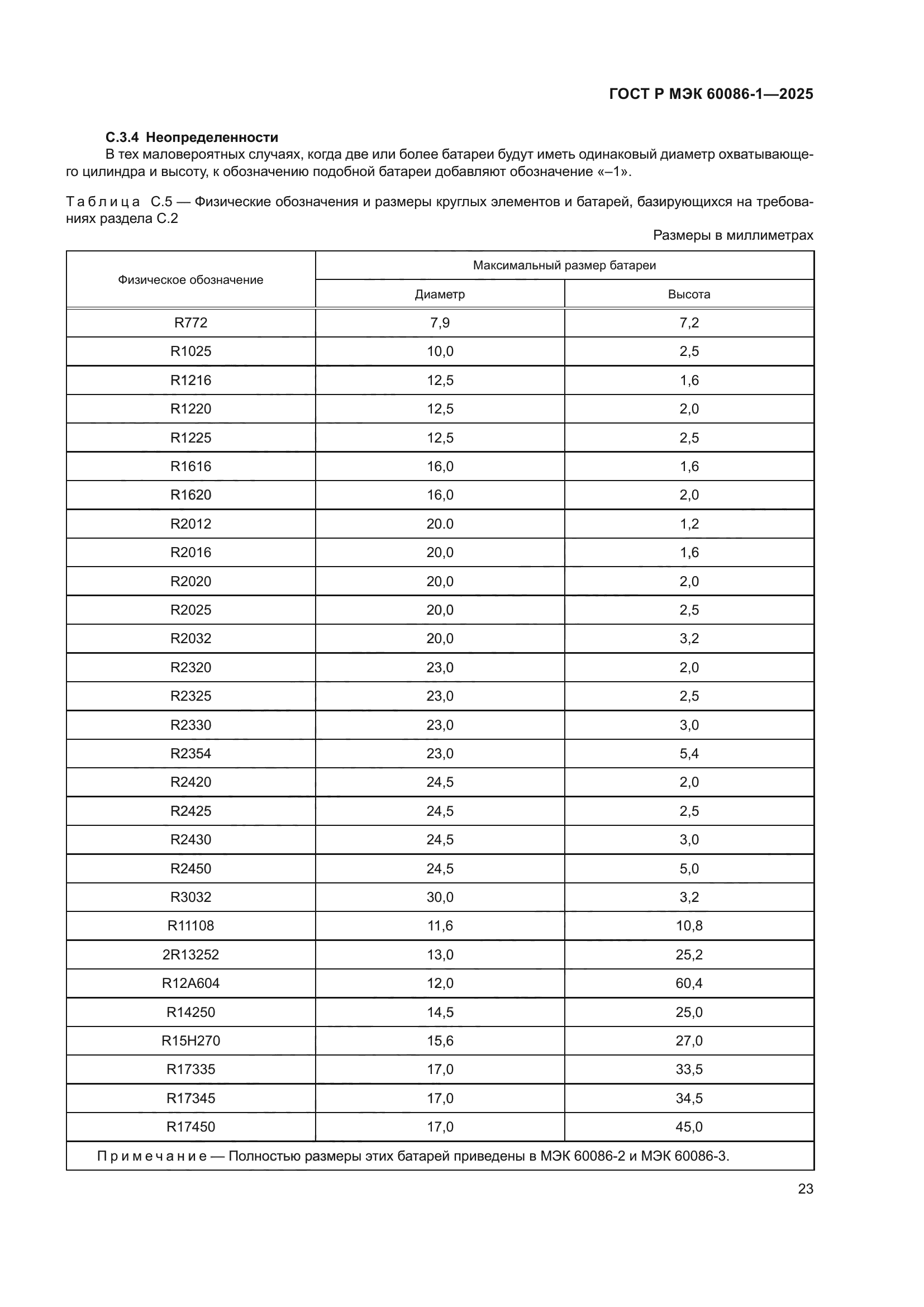
ГОСТ Р МЭК 60086-1-2025

Батареи первичные. Часть 1. Общие требования

Обозначение: ГОСТ Р МЭК 60086-1-2025
Статус:действует
Название рус.:Батареи первичные. Часть 1. Общие требования
Название англ.:Primary batteries. Part 1. General requirements
Дата актуализации текста:01.06.2025
Дата актуализации описания:01.01.2026
Дата издания:13.03.2025
Дата введения:01.09.2025
Взамен:ГОСТ Р МЭК 60086-1-2019
Аутентичен стандартам:IEC 60086-1(2021)
Нормативные ссылки:IEC 60086-2(2015);IEC 60086-3;IEC 60086-4;IEC 60086-5
Область применения:Настоящий стандарт предназначен для стандартизации первичных батарей по размерам, номенклатуре, конфигурациям выводов, маркировке, методам испытаний, типовым характеристикам, безопасности и экологическим аспектам. В стандарте установлены требования к первичным элементам и батареям, в то же время он определяет процедуры стандартизации требований к этим батареям. Электрохимические системы, как основной инструмент классификации батарей, также унифицированы по буквенному обозначению, электродам, электролиту, номинальным и максимальным напряжениям разомкнутой цепи
Расположен в:Государственные стандарты Общероссийский классификатор стандартов Электротехника Гальванические элементы и батареи Первичные элементы и батареи
ГОСТ Р МЭК 60086-1-2025ГОСТ Р МЭК 60086-1-2025ГОСТ Р МЭК 60086-1-2025ГОСТ Р МЭК 60086-1-2025ГОСТ Р МЭК 60086-1-2025ГОСТ Р МЭК 60086-1-2025ГОСТ Р МЭК 60086-1-2025ГОСТ Р МЭК 60086-1-2025ГОСТ Р МЭК 60086-1-2025ГОСТ Р МЭК 60086-1-2025ГОСТ Р МЭК 60086-1-2025ГОСТ Р МЭК 60086-1-2025ГОСТ Р МЭК 60086-1-2025ГОСТ Р МЭК 60086-1-2025ГОСТ Р МЭК 60086-1-2025ГОСТ Р МЭК 60086-1-2025ГОСТ Р МЭК 60086-1-2025ГОСТ Р МЭК 60086-1-2025ГОСТ Р МЭК 60086-1-2025ГОСТ Р МЭК 60086-1-2025ГОСТ Р МЭК 60086-1-2025ГОСТ Р МЭК 60086-1-2025ГОСТ Р МЭК 60086-1-2025ГОСТ Р МЭК 60086-1-2025ГОСТ Р МЭК 60086-1-2025ГОСТ Р МЭК 60086-1-2025ГОСТ Р МЭК 60086-1-2025ГОСТ Р МЭК 60086-1-2025ГОСТ Р МЭК 60086-1-2025ГОСТ Р МЭК 60086-1-2025ГОСТ Р МЭК 60086-1-2025ГОСТ Р МЭК 60086-1-2025ГОСТ Р МЭК 60086-1-2025ГОСТ Р МЭК 60086-1-2025ГОСТ Р МЭК 60086-1-2025ГОСТ Р МЭК 60086-1-2025ГОСТ Р МЭК 60086-1-2025ГОСТ Р МЭК 60086-1-2025ГОСТ Р МЭК 60086-1-2025ГОСТ Р МЭК 60086-1-2025