| Обозначение: |  ГОСТ Р 72117-2025 |
| Статус: | действует |
| Название рус.: | Безопасность машин. Поддерживающая система обеспечения безопасности |
| Название англ.: | Safety of machinery. Safeguarding supportive system |
| Дата актуализации текста: | 01.01.2026 |
| Дата актуализации описания: | 01.01.2026 |
| Дата издания: | 16.06.2025 |
| Дата введения: | 01.01.2026 |
| Аутентичен стандартам: | ISO/TR 22053:2021 |
| Нормативные ссылки: | ISO 11161:2007;ISO 12100:2010 |
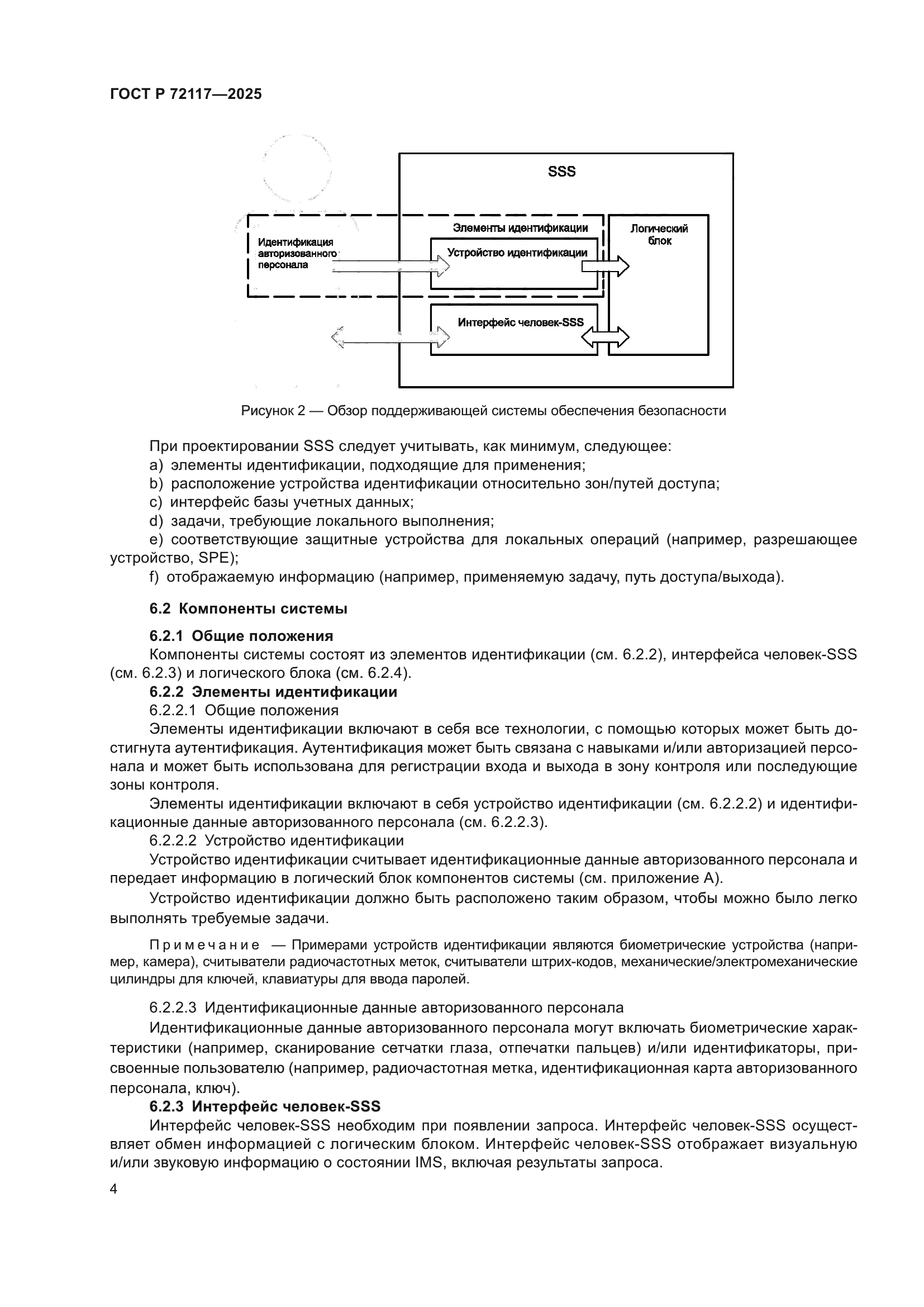
| Область применения: | Настоящий стандарт содержит рекомендации по проектированию и внедрению поддерживающей системы обеспечения безопасности (SSS), которая должна включать выбор режима работы в качестве компонента системы управления, связанного с безопасностью (SRP/CS), или добавлять уровень аутентификации и авторизации персонала в интегрированной производственной системе (IMS), разработанной в соответствии с ИСО 11161 |
|
| Расположен в: |
|