| Обозначение: |  ГОСТ Р 71895.1-2025 |
| Статус: | действует |
| Название рус.: | Системы киберфизические. Интеллектуальная система предотвращения несанкционированного копирования информации с рабочих мест операторов автоматизированных информационных систем. Часть 1. Общие требования |
| Название англ.: | Cyberphysical systems. An intelligent system to prevent unauthorized copying of information from the workplaces of operators of automated information systems. Part 1. General requirements |
| Дата актуализации текста: | 01.01.2026 |
| Дата актуализации описания: | 01.01.2026 |
| Дата издания: | 02.07.2025 |
| Дата введения: | 01.08.2025 |
| Нормативные ссылки: | ГОСТ 12.2.007.01; ГОСТ 14254; ГОСТ 15150; ГОСТ Р 50267.0 |
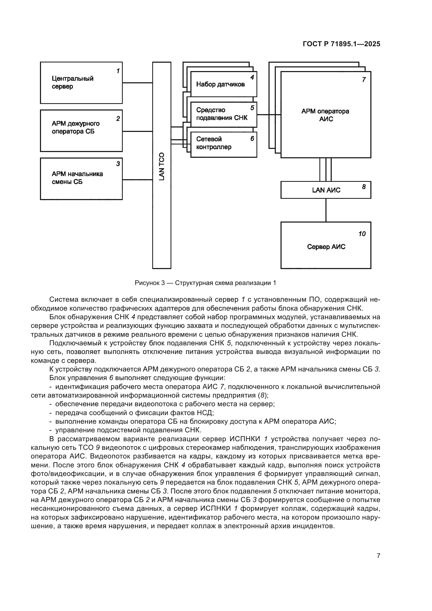
| Область применения: | Настоящий стандарт устанавливает требования: - к интеллектуальной системе предотвращения несанкционированного копирования информации (ИСПНКИ) с рабочих мест операторов автоматизированных информационных систем общего вида; - основным компонентам ИСПНКИ; - размещению и установке ИСПНКИ; - типовым примерам применения ИСПНКИ |
|
| Расположен в: |
|