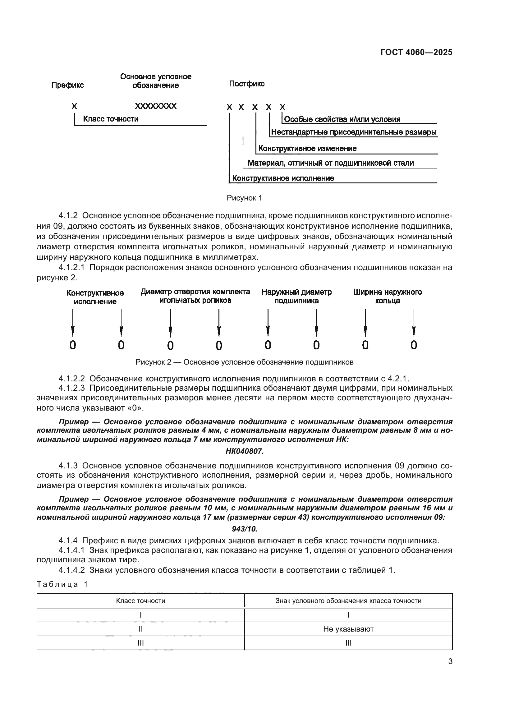
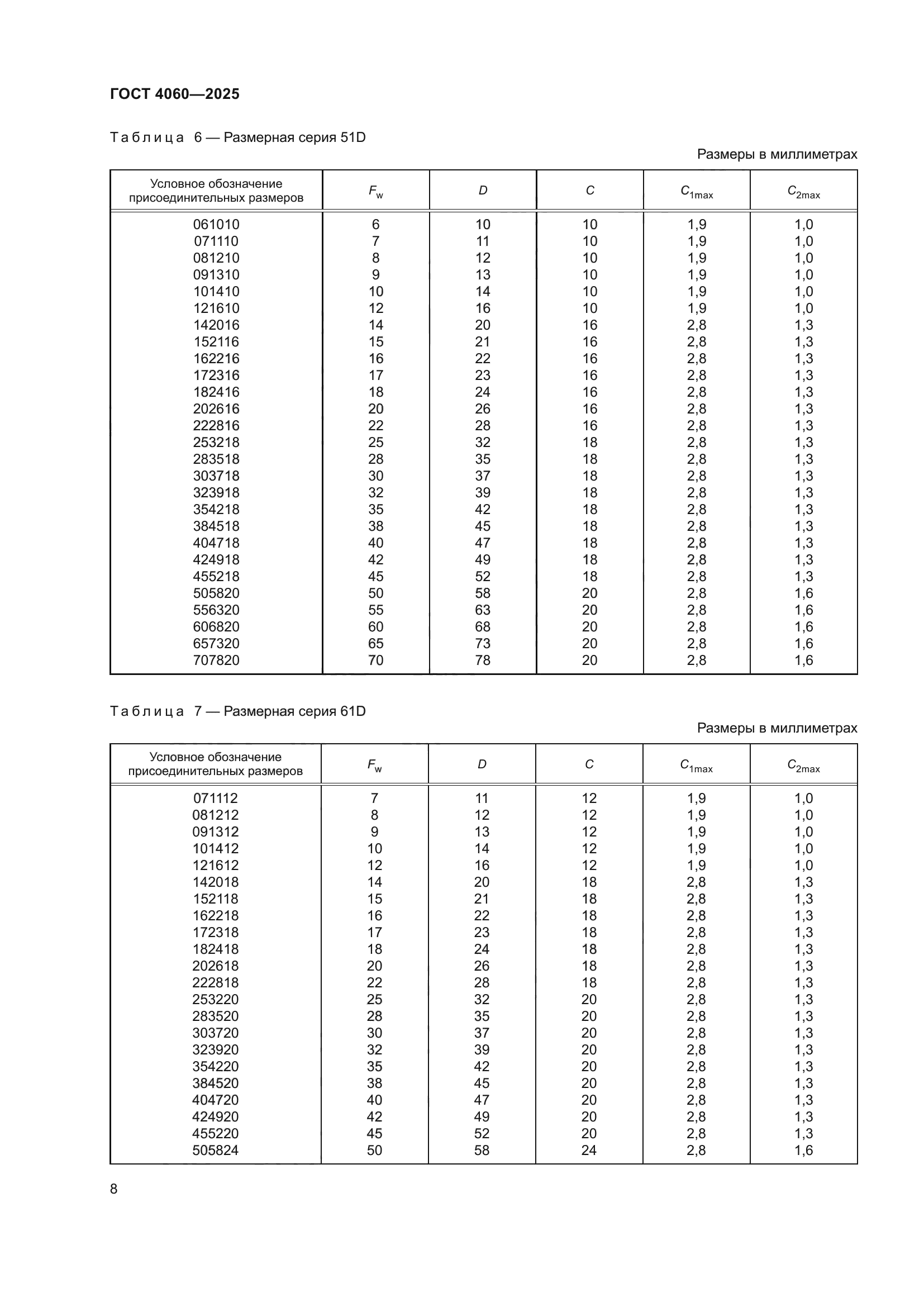
|
||||||||||||||||||||||||||||||
| Обозначение: | ![]() ГОСТ 4060-2025 |
| Статус: | действует |
| Название рус.: | Подшипники качения. Подшипники игольчатые со штампованным наружным кольцом. Общие технические условия |
| Название англ.: | Rolling bearings. Needle roller bearings with drawn cup. Specifications |
| Дата актуализации текста: | 01.01.2026 |
| Дата актуализации описания: | 01.01.2026 |
| Дата регистрации: | 30.06.2025 |
| Дата издания: | 28.07.2025 |
| Дата введения: | 01.11.2025 |
| Взамен: | ГОСТ 4060-78 |
| Нормативные ссылки: | ГОСТ 503; ГОСТ 520; ГОСТ 2789; ГОСТ 3189; ГОСТ 6870; ГОСТ 9045; ГОСТ 9450; ГОСТ 18854; ГОСТ 18855; ГОСТ 24297; ГОСТ 24853; ГОСТ 24955; ГОСТ 25256; ГОСТ 25346; ГОСТ 25347 |
| Область применения: | Настоящий стандарт распространяется на игольчатые подшипники со штампованным наружным кольцом |
| Расположен в: | |



























