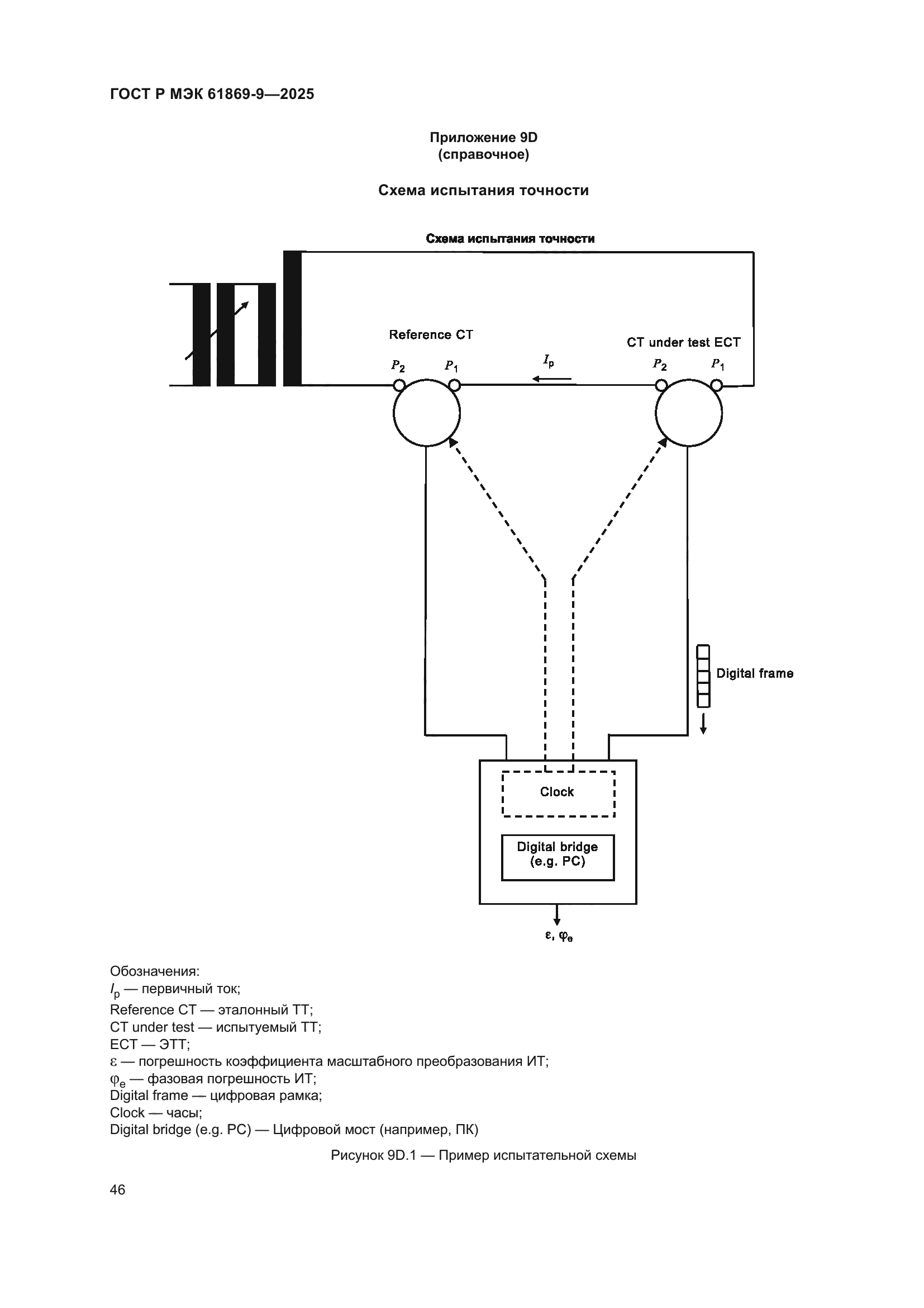
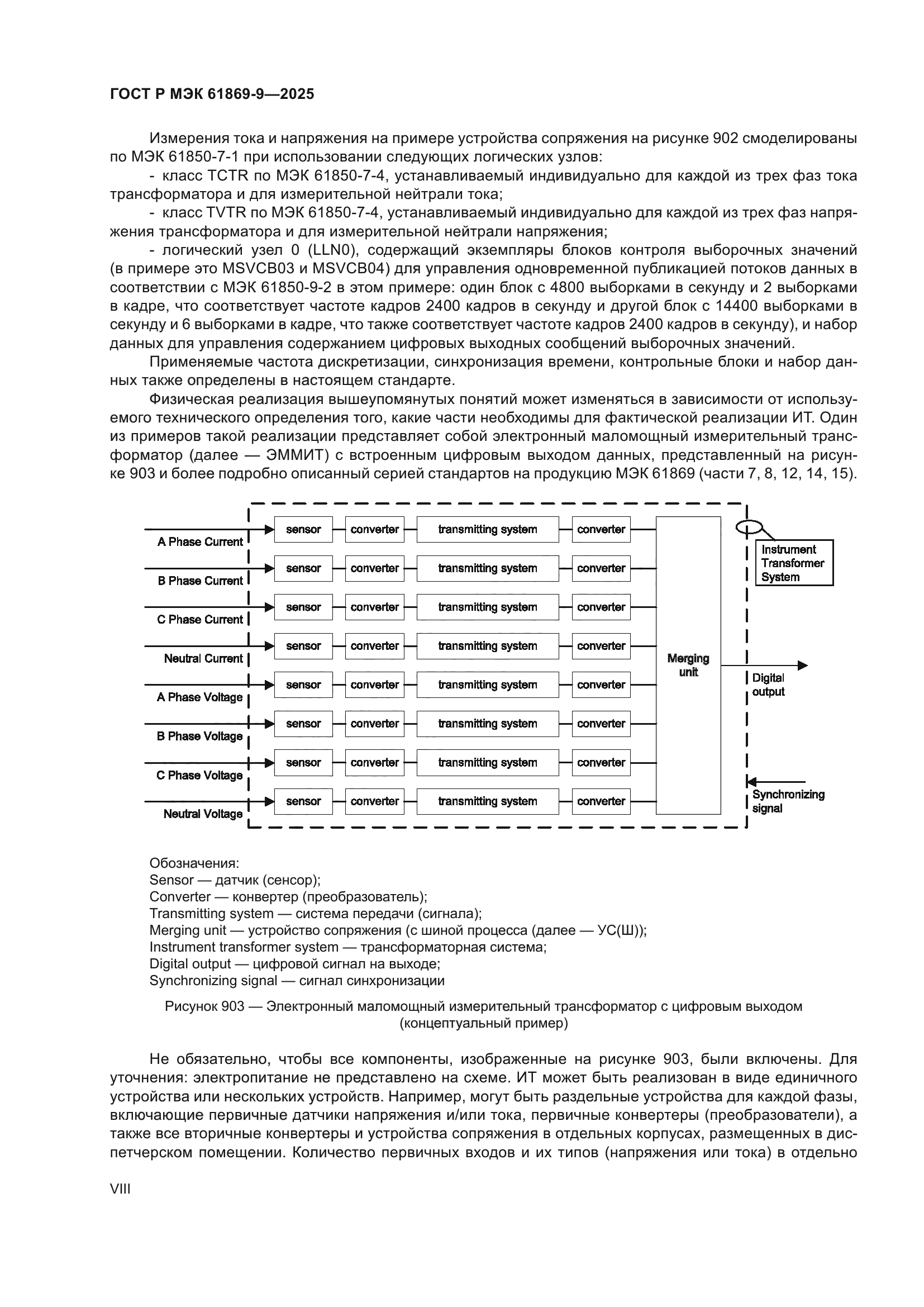
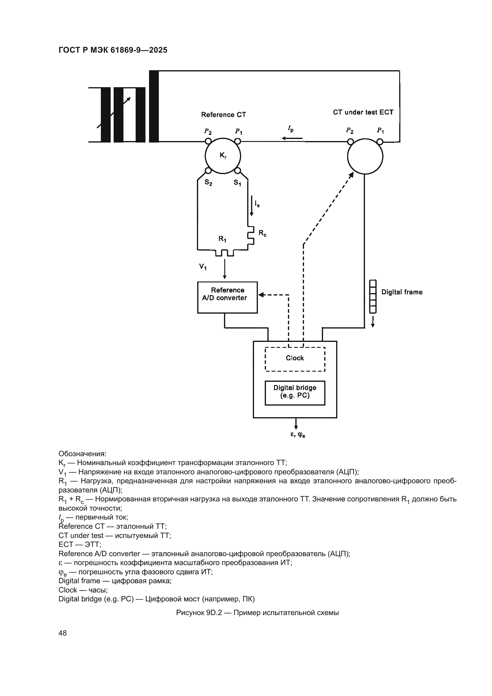
| Обозначение: |  ГОСТ Р МЭК 61869-9-2025 |
| Статус: | действует |
| Название рус.: | Трансформаторы измерительные. Часть 9. Цифровой интерфейс для измерительных трансформаторов (преобразователей) |
| Название англ.: | Instrument transformers. Part 9. Digital interface for instrument transformers |
| Дата актуализации текста: | 01.01.2026 |
| Дата актуализации описания: | 01.01.2026 |
| Дата издания: | 08.09.2025 |
| Дата введения: | 01.12.2025 |
| Аутентичен стандартам: | IEC 61869-9(2016) |
| Нормативные ссылки: | IEC 61588(2009);IEC 61850-6(2009);IEC 61850-7-1(2011);IEC 61850-7-2(2010);IEC 61850-7-3(2010);IEC 61850-8-1(2011);IEC 61850-9-2(2011);IEC/IEEE 61850-9-3(2016);IEC 61850-10(2012);IEC 61869-6(2016) |
| Область применения: | Настоящий стандарт является частью серии стандартов МЭК 61869, распространяющейся на измерительные трансформаторы (далее - ИТ), и содержит дополнительные требования к ИТ, оснащенным цифровым выходом. Стандарт должен использоваться совместно со стандартами МЭК 61869-1 «Трансформаторы измерительные. Часть 1. Общие требования» и МЭК 61869-6 «Трансформаторы измерительные. Часть 6. Дополнительные общие требования к маломощным измерительным трансформаторам (преобразователям)». В дополнение к данному стандарту следует использовать стандарты, содержащие специфические дополнительные требования к ИТ (серия МЭК 61869 части 7, 8, 12, 13, 14 и 15) |
|
| Расположен в: |
|