| Обозначение: |  ГОСТ IEC 62893-1-2020 |
| Статус: | принят |
| Название рус.: | Кабели для зарядки электрических транспортных средств на номинальное напряжение до 0,6/1 кВ включительно. Часть 1. Общие требования |
| Название англ.: | Charging cables for electric vehicles of rated voltages up to and including 0,6/1 kV. Part 1. General requirements |
| Дата актуализации текста: | 01.01.2026 |
| Дата актуализации описания: | 01.01.2026 |
| Дата регистрации: | 31.08.2020 |
| Дата издания: | 09.09.2025 |
| Дата введения: | 01.10.2026 |
| Аутентичен стандартам: | IEC 62893-1(2017) |
| Нормативные ссылки: | ISO 48;ISO 7619-1;ISO 14572:2011;IEC 60245-2(1994);IEC 60228(2004);IEC 60332-1-2(2004);IEC 60332-1-2(2004)/Amd.1(2015);IEC 60811-401;IEC 60811-403;IEC 60811-404;IEC 60811-501;IEC 60811-505(2012);IEC 60811-507;IEC 60811-508(2012);IEC 60811-509;IEC 62821-1(2015);IEC 62893-2(2017) |
| Область применения: | Настоящий стандарт устанавливает требования к конструкции, размерам и методам испытаний гибких кабелей с экструдированной изоляцией и оболочкой на номинальное напряжение до 0,6/1 кВ включительно переменного тока и до 1 500 В включительно постоянного тока, предназначенных для передачи электрической энергии от зарядного устройства зарядной станции к электрическому транспортному средству (EV) и применяемых для гибкого соединения в жестких условиях эксплуатации. Кабель для зарядки EV предназначен для подачи питания и при необходимости для связи (подробности см. в IEC 62196 и IEC 61851-1) с электромобилем или подключаемым гибридным транспортным средством (PHEV). Кабели для зарядки применимы для режимов зарядки с 1-го по 4-й по IEC 61851-1. Кабели, предназначенные для нормальных условий эксплуатации, с номинальным напряжением 300/500 В разрешены только для режима зарядки 1 по IEC 61851-1. Максимальная температура токопроводящих жил для кабелей настоящего стандарта составляет 90 °C |
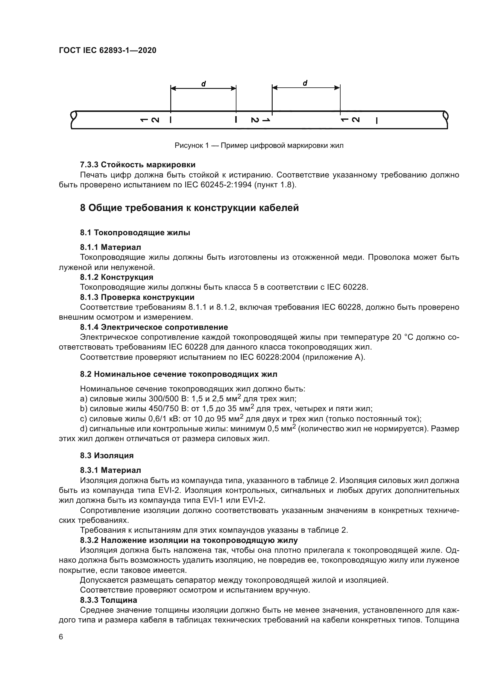
|
| Расположен в: |
|