| Обозначение: |  ГОСТ 35302-2025 |
| Статус: | принят |
| Название рус.: | Теплоизоляционные изделия из пенополиуретана для строительства. Системы жесткого напыляемого пенополиуретана, предназначенные для напыления на месте производства работ. Технические условия |
| Название англ.: | Thermal insulation products made of polyurethane foam for building. Rigid polyurethane foam systems for spray in-situ of work. Specifications |
| Дата актуализации текста: | 01.01.2026 |
| Дата актуализации описания: | 01.01.2026 |
| Дата регистрации: | 31.07.2025 |
| Дата издания: | 29.09.2025 |
| Дата введения: | 01.06.2026 |
| Содержит требования: | EN 14315-1:2013 |
| Нормативные ссылки: | ГОСТ 8.423; ГОСТ 12.1.044; ГОСТ 7076; ГОСТ 14192; ГОСТ 19433; ГОСТ 25898-2020; ГОСТ 27296; ГОСТ 29224; ГОСТ 30244; ГОСТ 30402; ГОСТ 31340; ГОСТ 31704; ГОСТ 31705; ГОСТ 31915; ГОСТ 31924; ГОСТ 31925-2011;ГОСТ EN 823;ГОСТ EN 826;ГОСТ EN 1602;ГОСТ EN 1604;ГОСТ EN 1605;ГОСТ EN 1606;ГОСТ EN 1607-2011;ГОСТ EN 1609;ГОСТ EN 12086;ГОСТ EN 12087;ГОСТ OIML R 76-1 |
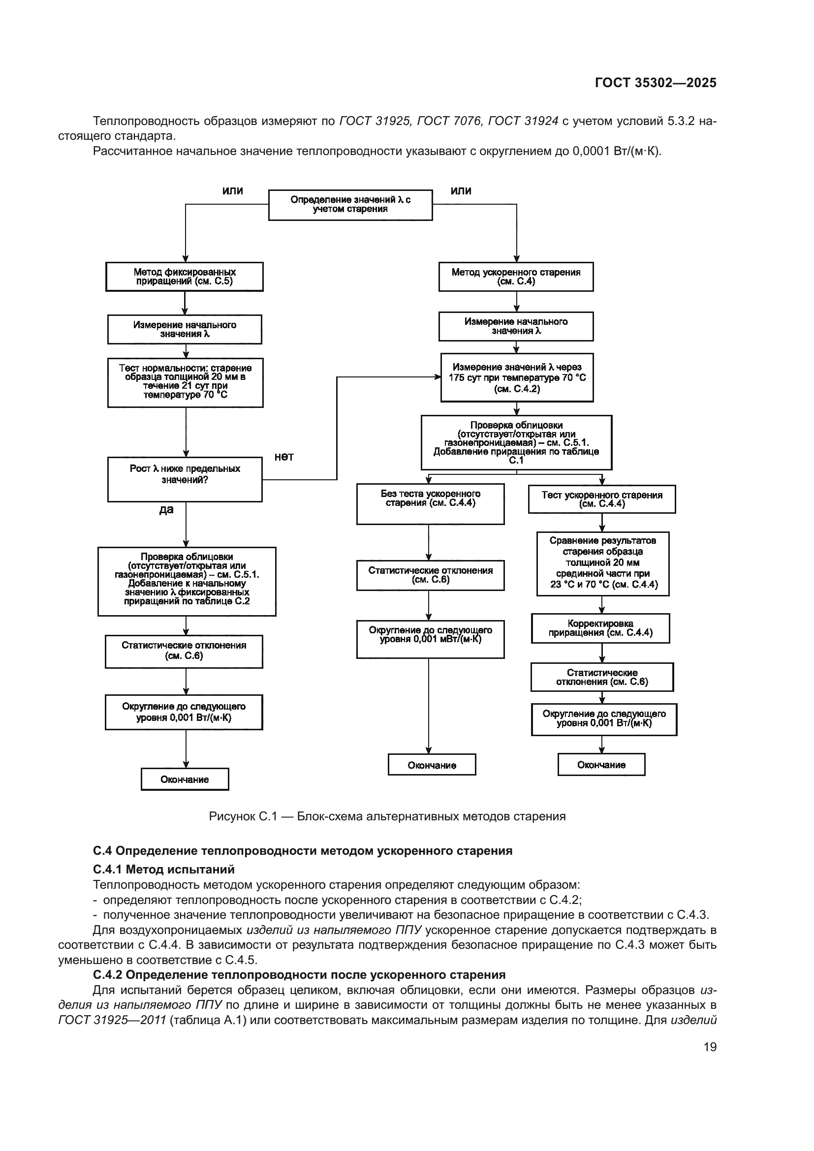
| Область применения: | Настоящий стандарт распространяется на системы жесткого напыляемого пенополиуретана, предназначенные для напыления на месте производства работ с целью получения бесшовной теплоизоляции, предназначенной для всех типов строительных конструкций (металлических, деревянных, бетонных, кирпичных и др.) вновь возводимых и реконструируемых жилых, общественных, промышленных или административных зданий и сооружений |
|
| Расположен в: |
|