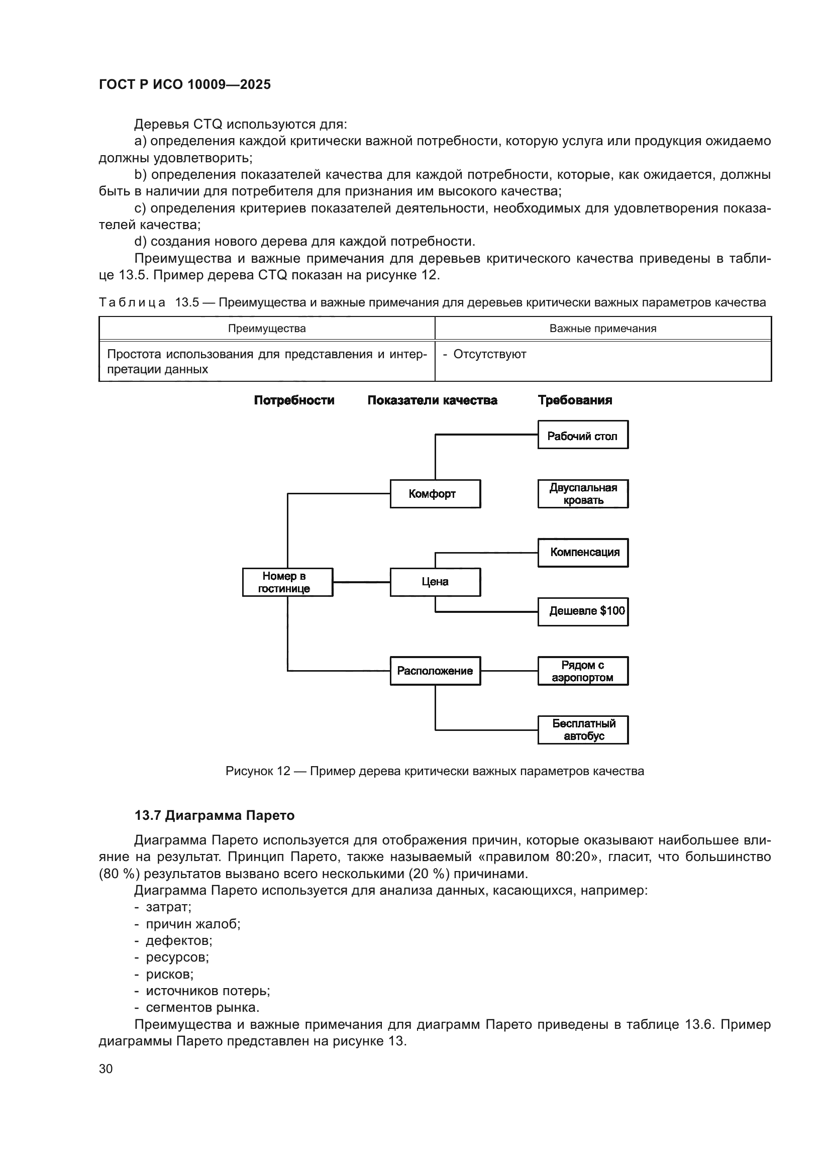
| Обозначение: |  ГОСТ Р ИСО 10009-2025 |
| Статус: | принят |
| Название рус.: | Менеджмент качества. Руководство по инструментам качества и их применению |
| Название англ.: | Quality management. Guidance for quality tools and their application |
| Дата актуализации текста: | 01.01.2026 |
| Дата актуализации описания: | 01.01.2026 |
| Дата издания: | 16.10.2025 |
| Дата введения: | 01.03.2026 |
| Аутентичен стандартам: | ISO 10009:2024 |
| Область применения: | Настоящий стандарт представляет собой руководство по выбору и применению инструментов, которые можно использовать в системе менеджмента качества для того, чтобы: a) охарактеризовать процесс или параметр; b) способствовать решению проблем; c) выделить области для улучшения; d) повысить результативность |
|
| Расположен в: |
|