| Обозначение: |  ГОСТ Р 60.4.3.2-2025 |
| Статус: | действует |
| Название рус.: | Роботы и робототехнические устройства. Промышленные транспортные роботы. Руководство по представлению параметров внешней среды при проведении испытаний на стадиях жизненного цикла |
| Название англ.: | Robots and robotic devices. Industrial transport robots. Guidelines for the presentation of environmental parameters during testing at life cycle stages |
| Дата актуализации текста: | 01.01.2026 |
| Дата актуализации описания: | 01.01.2026 |
| Дата издания: | 28.10.2025 |
| Дата введения: | 01.01.2026 |
| Содержит требования: | ASTM F3218-19 |
| Нормативные ссылки: | ГОСТ EN 12895;ГОСТ IEC 61000-6-7; ГОСТ Р 60.0.0.4; ГОСТ Р 60.0.0.7; ГОСТ Р 60.4.0.1; ГОСТ Р 60.4.3.1; ГОСТ Р ИСО 14644-1; ГОСТ Р 53964 |
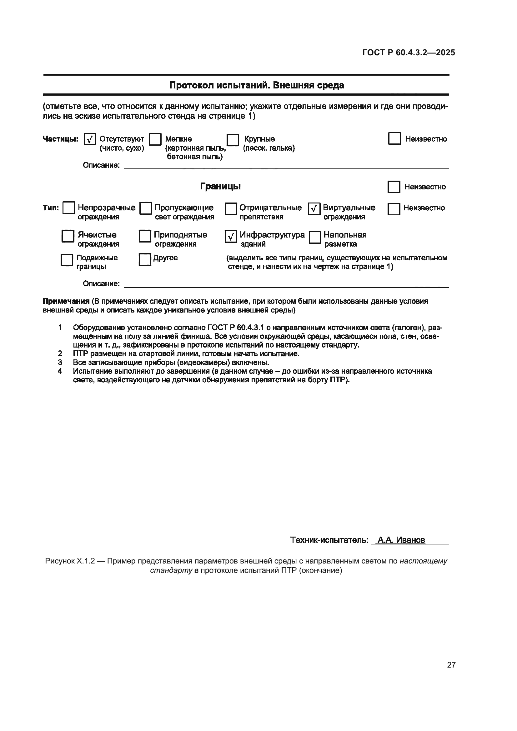
| Область применения: | Настоящий стандарт устанавливает требования к представлению параметров внешней среды в протоколах испытаний ПТР, проводимых на стадиях жизненного цикла. При проведении испытаний ПТР необходимо учитывать влияние условий внешней среды на результаты испытаний. Разные типы ПТР предназначены для эксплуатации как в помещениях, так и на открытом воздухе на территории промышленных предприятий. Соответственно промышленные предприятия используют ПТР для транспортировки грузов, для работы в складских помещениях и на других работах в разных условиях внешней среды. При проведении испытаний изготовителями и эксплуатантами ПТР необходимо определить и задокументировать параметры внешней среды, в которой проводят испытания, поскольку в зависимости от этих параметров могут иметь место различия в рабочих характеристиках ПТР, что следует учитывать при сравнении результатов испытаний разных ПТР, проводимых в разных местах и в разное время. Кроме того, важно учитывать изменения условий внешней среды в ходе испытаний |
|
| Расположен в: |
|