На главную | База 1 | База 2 | База 3
Испытания и Сертификация Испытательный центр Орган по сертификации Строительная экспертиза Обследование зданий Тепловизионный контроль Ультразвуковой контроль Проектные работы Контроль качества строительства Нормативные базы Государственные стандартыДекларация о соответствии Единый перечень продукции ТС Классификатор государственных стандартов Общероссийский классификатор стандартов Обязательная сертификация Окп Тематические сборники Технические регламенты РФ Технические регламенты Таможенного союзаСтроительная документацияТехническая документация

ГОСТ Р 71487.9-2025

Цифровая промышленность. Качество промышленных данных. Часть 60. Управление качеством данных. Основные положения

Обозначение: ГОСТ Р 71487.9-2025
Статус:действует
Название рус.:Цифровая промышленность. Качество промышленных данных. Часть 60. Управление качеством данных. Основные положения
Название англ.:Digital industry. Industrial data quality. Part 60. Data quality management. Basic principles
Дата актуализации текста:01.01.2026
Дата актуализации описания:01.01.2026
Дата издания:28.10.2025
Дата введения:01.01.2026
Содержит требования:ISO/TS 8000-60:2017
Нормативные ссылки:ГОСТ Р 71438;ГОСТ Р 71487.1;ГОСТ Р 71487.3;ГОСТ Р 71487.4;ГОСТ Р 71487.10;ГОСТ Р ИСО 8000-2;ГОСТ Р ИСО 10303-1;ГОСТ Р ИСО/МЭК 33004
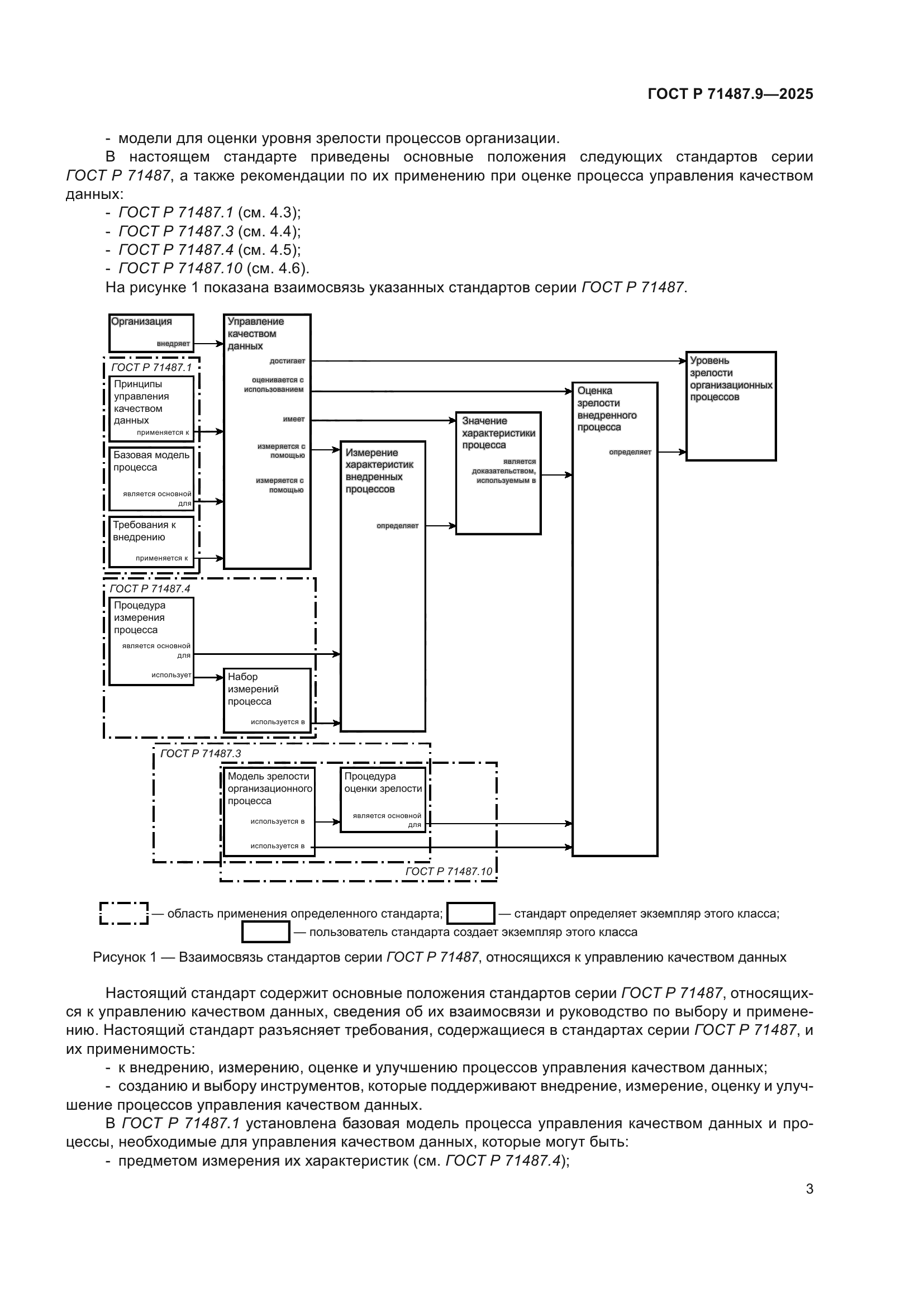
Область применения:Настоящий стандарт содержит основные положения стандартов серии ГОСТ Р 71487, устанавливающих требования к внедрению, оценке и улучшению процесса управления качеством данных. Настоящий стандарт содержит: - общие сведения об областях применения стандартов серии ГОСТ Р 71487, относящихся к управлению качеством данных; - основные положения ГОСТ Р 71487.1, в котором установлена базовая модель процесса управления качеством данных; - основные положения ГОСТ Р 71487.3, в котором определены конкретные элементы модели зрелости, соответствующие ГОСТ Р ИСО/МЭК 33004, и установлены методы определения зрелости организации в части управления качеством данных; - основные положения ГОСТ Р 71487.4, в котором определена структура совокупности измерения процессов, которые организации могут использовать для измерения характеристик процессов управления качеством данных; - основные положения ГОСТ Р 71487.10, в котором установлены требования к моделям процесса с применением метода улучшения процесса тестирования в качестве основы для определения зрелости организации в части управления качеством данных. Настоящий стандарт не устанавливает требования к внедрению стандартов серии ГОСТ Р 71487, относящихся к управлению качеством данных
Расположен в:Государственные стандарты Общероссийский классификатор стандартов Машиностроение Промышленные автоматизированные системы Измерение и контроль производственного процесса
ГОСТ Р 71487.9-2025ГОСТ Р 71487.9-2025ГОСТ Р 71487.9-2025ГОСТ Р 71487.9-2025ГОСТ Р 71487.9-2025ГОСТ Р 71487.9-2025ГОСТ Р 71487.9-2025ГОСТ Р 71487.9-2025ГОСТ Р 71487.9-2025ГОСТ Р 71487.9-2025ГОСТ Р 71487.9-2025ГОСТ Р 71487.9-2025ГОСТ Р 71487.9-2025ГОСТ Р 71487.9-2025ГОСТ Р 71487.9-2025ГОСТ Р 71487.9-2025