|
|
 ГОСТ Р ИСО 18209-1-2025
Биотехнология. Биобанкинг паразитов. Часть 1. Гельминты
| Обозначение: |  ГОСТ Р ИСО 18209-1-2025 |
| Статус: | принят |
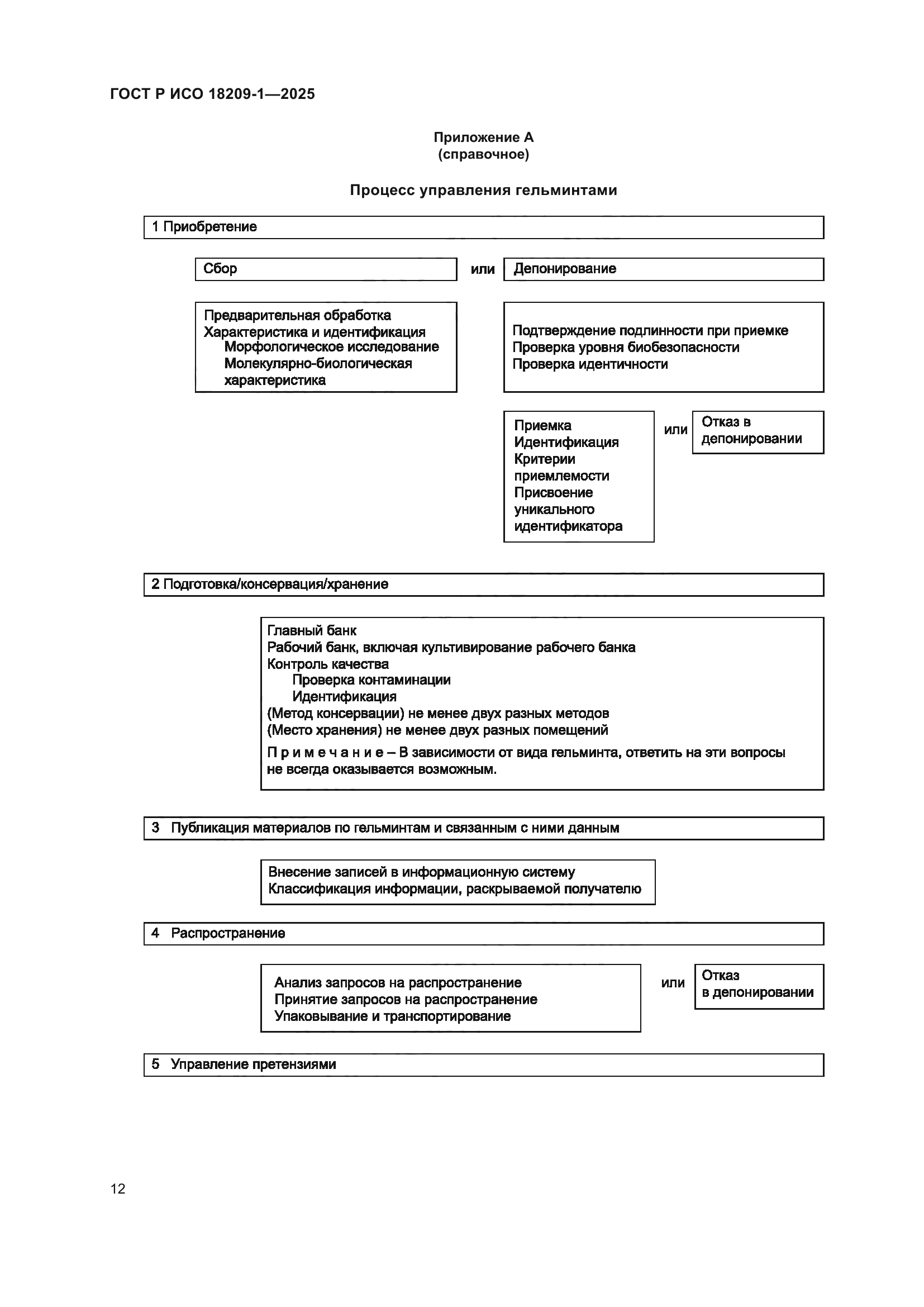
| Название рус.: | Биотехнология. Биобанкинг паразитов. Часть 1. Гельминты | | Название англ.: | Biotechnology. Biobanking of parasites. Part 1. Helminths | | Дата актуализации текста: | 01.01.2026 | | Дата актуализации описания: | 01.01.2026 | | Дата введения: | 01.03.2026 | | Аутентичен стандартам: | ISO 18209-1:2024 | | Нормативные ссылки: | ISO 15190:2020;ISO 21710:2020;ISO 24088-1;ISO 35001;ISO 45001:2018;IEC 61010-1 | | Область применения: | Настоящий стандарт устанавливает требования к биобанкингу гельминтов, которые рассматриваются как паразитарные ресурсы, включая сбор, обеспечение сохранности, классификацию, пролиферацию, консервацию, хранение и распространение гельминтов. Настоящий стандарт устанавливает требования к качеству гельминтов и связанных с ними данных, сбору данных и соблюдению техники безопасности при обращении с гельминтами как с источником возникновения инфекционных заболеваний человека. Настоящий стандарт может быть применен любыми организациями, осуществляющими биобанкинг (биобанкирование) гельминтов, используемых для научных исследований и разработок | |
| Расположен в: |
|
                      
|
|