На главную | База 1 | База 2 | База 3
Испытания и Сертификация Испытательный центр Орган по сертификации Строительная экспертиза Обследование зданий Тепловизионный контроль Ультразвуковой контроль Проектные работы Контроль качества строительства Нормативные базы Государственные стандартыДекларация о соответствии Единый перечень продукции ТС Классификатор государственных стандартов Общероссийский классификатор стандартов Обязательная сертификация Окп Тематические сборники Технические регламенты РФ Технические регламенты Таможенного союзаСтроительная документацияТехническая документация

ГОСТ 35322.1-2025

Модули фотоэлектрические. Оценка соответствия техническим требованиям. Часть 1. Требования к испытаниям

Обозначение: ГОСТ 35322.1-2025
Статус:принят
Название рус.:Модули фотоэлектрические. Оценка соответствия техническим требованиям. Часть 1. Требования к испытаниям
Название англ.:Photovoltaic modules. Evaluation of compliance with technical requirements. Part 1. Test requirements
Дата актуализации текста:01.01.2026
Дата актуализации описания:01.01.2026
Дата регистрации:31.10.2025
Дата издания:24.11.2025
Дата введения:10.02.2026
Нормативные ссылки:ГОСТ 12.1.009;ГОСТ 12.4.026-2015;ГОСТ 1494;ГОСТ 18311;ГОСТ 30630.0.0;ГОСТ 34100.3;ГОСТ 34999;ГОСТ 35322.1.1;ГОСТ 35322.1.3;ГОСТ 35322.1.4;ГОСТ 35322.2-2025;ГОСТ IEC 60050-300;ГОСТ IEC 60269-6;ГОСТ IEC 61140-2012;ГОСТ ISO/IEC 17025
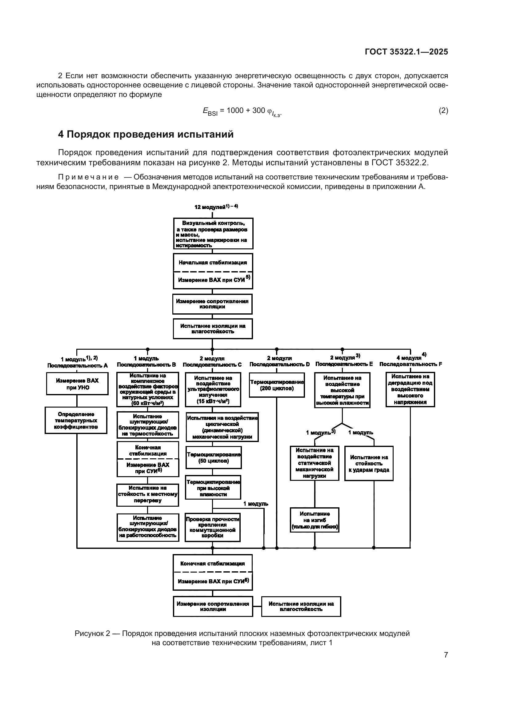
Область применения:Настоящий стандарт распространяется на плоские фотоэлектрические модули, предназначенные для длительной работы на открытом воздухе, и устанавливает общие требования для оценки соответствия таких модулей техническим требованиям. Методы испытаний фотоэлектрических модулей на соответствие техническим требованиям установлены в ГОСТ 35322.2. Специальные требования для фотоэлектрических модулей, изготовленных по разным технологиям, установлены в ГОСТ 35322.1.1, ГОСТ 35322.1.3 и ГОСТ 35322.1.4 (см. также [1]). Стандарт применим к плоским фотоэлектрическим модулям (приемникам излучения), предназначенным для работы при концентрированном излучении со степенью концентрации не более трех. Однако для таких фотоэлектрических модулей испытаний по настоящему стандарту, ГОСТ 35322.2, а также ГОСТ 35322.1.1, ГОСТ 35322.1.3 или ГОСТ 35322.1.4 (см. также [1]) может быть недостаточно. Испытания таких модулей следует проводить при значениях тока, напряжения и мощности, ожидаемых при максимальной концентрации, на которую они рассчитаны
Расположен в:Государственные стандарты Общероссийский классификатор стандартов Энергетика и теплотехника Гелиоэнергетика
ГОСТ 35322.1-2025ГОСТ 35322.1-2025ГОСТ 35322.1-2025ГОСТ 35322.1-2025ГОСТ 35322.1-2025ГОСТ 35322.1-2025ГОСТ 35322.1-2025ГОСТ 35322.1-2025ГОСТ 35322.1-2025ГОСТ 35322.1-2025ГОСТ 35322.1-2025ГОСТ 35322.1-2025ГОСТ 35322.1-2025ГОСТ 35322.1-2025ГОСТ 35322.1-2025ГОСТ 35322.1-2025ГОСТ 35322.1-2025ГОСТ 35322.1-2025ГОСТ 35322.1-2025ГОСТ 35322.1-2025ГОСТ 35322.1-2025ГОСТ 35322.1-2025ГОСТ 35322.1-2025ГОСТ 35322.1-2025ГОСТ 35322.1-2025ГОСТ 35322.1-2025ГОСТ 35322.1-2025ГОСТ 35322.1-2025ГОСТ 35322.1-2025ГОСТ 35322.1-2025ГОСТ 35322.1-2025ГОСТ 35322.1-2025ГОСТ 35322.1-2025ГОСТ 35322.1-2025ГОСТ 35322.1-2025ГОСТ 35322.1-2025ГОСТ 35322.1-2025ГОСТ 35322.1-2025ГОСТ 35322.1-2025ГОСТ 35322.1-2025