| Обозначение: |  ГОСТ ISO 13950-2025 |
| Статус: | действует |
| Название рус.: | Трубы и фитинги пластмассовые. Системы автоматического распознавания для выполнения соединений сваркой закладными нагревателями |
| Название англ.: | Plastics pipes and fittings. Automatic recognition systems for electrofusion joints |
| Дата актуализации текста: | 01.01.2026 |
| Дата актуализации описания: | 01.01.2026 |
| Дата регистрации: | 31.03.2025 |
| Дата издания: | 04.06.2025 |
| Дата введения: | 01.07.2025 |
| Аутентичен стандартам: | ISO 13950:2007 |
| Нормативные ссылки: | ISO/IEC 7810:2019;ISO/IEC 7811-2:2018;ISO/IEC 7811-6:2001 |
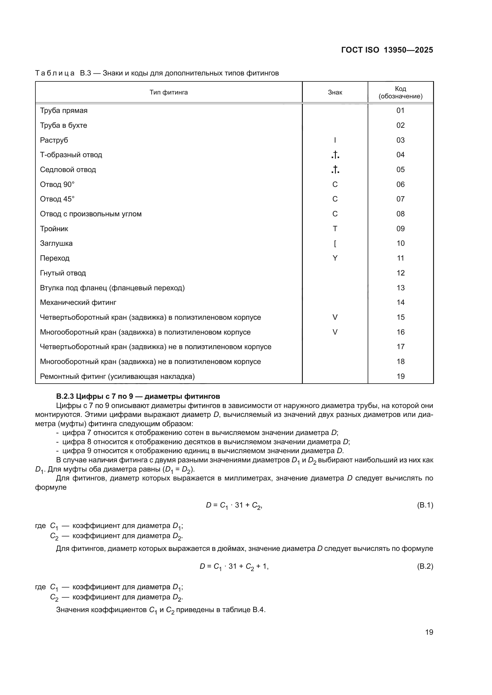
| Область применения: | Настоящий стандарт определяет характеристики автоматических распознающих систем (цифровое распознавание с помощью символа штрихового кода или магнитных карт, электромеханическое распознавание, использующее коннекторы со встроенными резисторами и саморегулируемые системы), позволяющих автоматически обеспечивать энергией фитинги из термопластов закладными нагревателями (ЗН) для соединения труб. Настоящий стандарт применяют к фитингам с ЗН, предназначенным для полимерных трубопроводов, транспортирующих газообразное топливо, воду питьевого (включая сырую воду до очистки) и технического назначения или другие жидкости |
| Приложение №1: | Поправка к ГОСТ ISO 13950-2025 |
|
| Расположен в: |
|