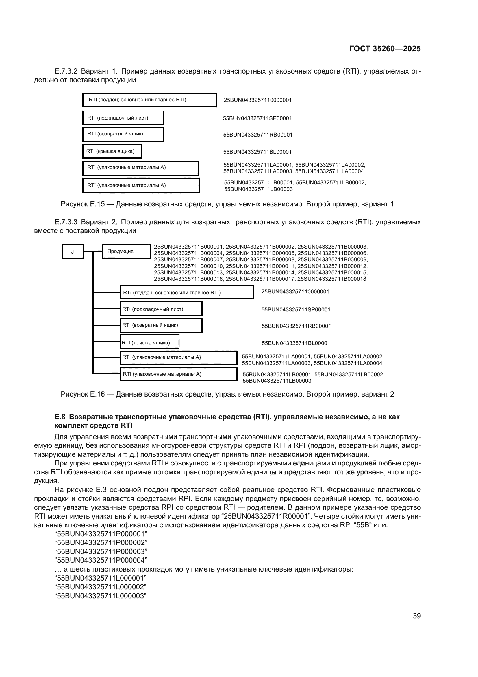
|
|
 ГОСТ 35260-2025
Технологии автоматической идентификации и сбора данных. Применение радиочастотной идентификации в цепи поставок. Продукция, снабженная радиочастотными метками, упакованная продукция, транспортируемые единицы, возвратные транспортные упаковочные средства и возвратные упаковочные средства
| Обозначение: |  ГОСТ 35260-2025 |
| Статус: | действует |
| Название рус.: | Технологии автоматической идентификации и сбора данных. Применение радиочастотной идентификации в цепи поставок. Продукция, снабженная радиочастотными метками, упакованная продукция, транспортируемые единицы, возвратные транспортные упаковочные средства и возвратные упаковочные средства | | Название англ.: | Automatic identification and data capture techniques. Supply chain applications of radio frequency identification. Product tagging, product packaging, transport units, returnable transport units and returnable packaging items | | Дата актуализации текста: | 01.01.2026 | | Дата актуализации описания: | 01.01.2026 | | Дата регистрации: | 30.04.2025 | | Дата издания: | 09.06.2025 | | Дата введения: | 01.12.2025 | | Содержит требования: | ISO/IEC 17360:2023 | | Нормативные ссылки: | ГОСТ 30721; ГОСТ 34731; ГОСТ 34822;ГОСТ ISO 445; ГОСТ ИСО 8601;ГОСТ ISO 15394 ;ГОСТ ISO/IEC 15417;ГОСТ ISO/IEC 15420;ГОСТ ISO/IEC 15459-1;ГОСТ ISO/IEC 15459-2;ГОСТ ISO/IEC 15459-4;ГОСТ ISO/IEC 15459-5;ГОСТ ISO/IEC 15963-1;ГОСТ ISO/IEC 29160 | | Область применения: | Настоящий стандарт устанавливает следующие основные характеристики технологии радиочастотной идентификации для использования в цепи поставок применительно к продукции, снабженной радиочастотными метками, упакованной продукции, транспортируемым единицам, возвратным транспортным упаковочным средствам (RTI) и возвратным упаковочным средствам (RPI): - технические требования для идентификации предметов; - рекомендации, касающиеся дополнительной информации, связанной с радиочастотными метками; - применяемые семантические и синтаксические правила для данных; - требования к протоколу данных, используемому для взаимодействия с бизнес-приложениями и системой радиочастотной идентификации; - минимальные требования к эксплуатационным характеристикам; - требования к радиоинтерфейсу между радиочастотным устройством опроса и радиочастотной меткой; - требования к повторному использованию и вторичной переработке радиочастотных меток | |
| Расположен в: |
|
                                                
|
|