| Обозначение: |  ГОСТ Р 72166-2025 |
| Статус: | действует |
| Название рус.: | Кокс. Ситовый анализ класса крупности 20 мм и более |
| Название англ.: | Coke. Sieve analysis nominal top size greater than 20 mm |
| Дата актуализации текста: | 01.01.2026 |
| Дата актуализации описания: | 01.01.2026 |
| Дата издания: | 10.07.2025 |
| Дата введения: | 01.08.2025 |
| Содержит требования: | ISO 728:2021 |
| Нормативные ссылки: | ГОСТ 380; ГОСТ 2669; ГОСТ 2715; ГОСТ 3306; ГОСТ 3826; ГОСТ 23083; ГОСТ 27588; ГОСТ Р 51568; ГОСТ Р 53228;ГОСТ OIML R 76-1 |
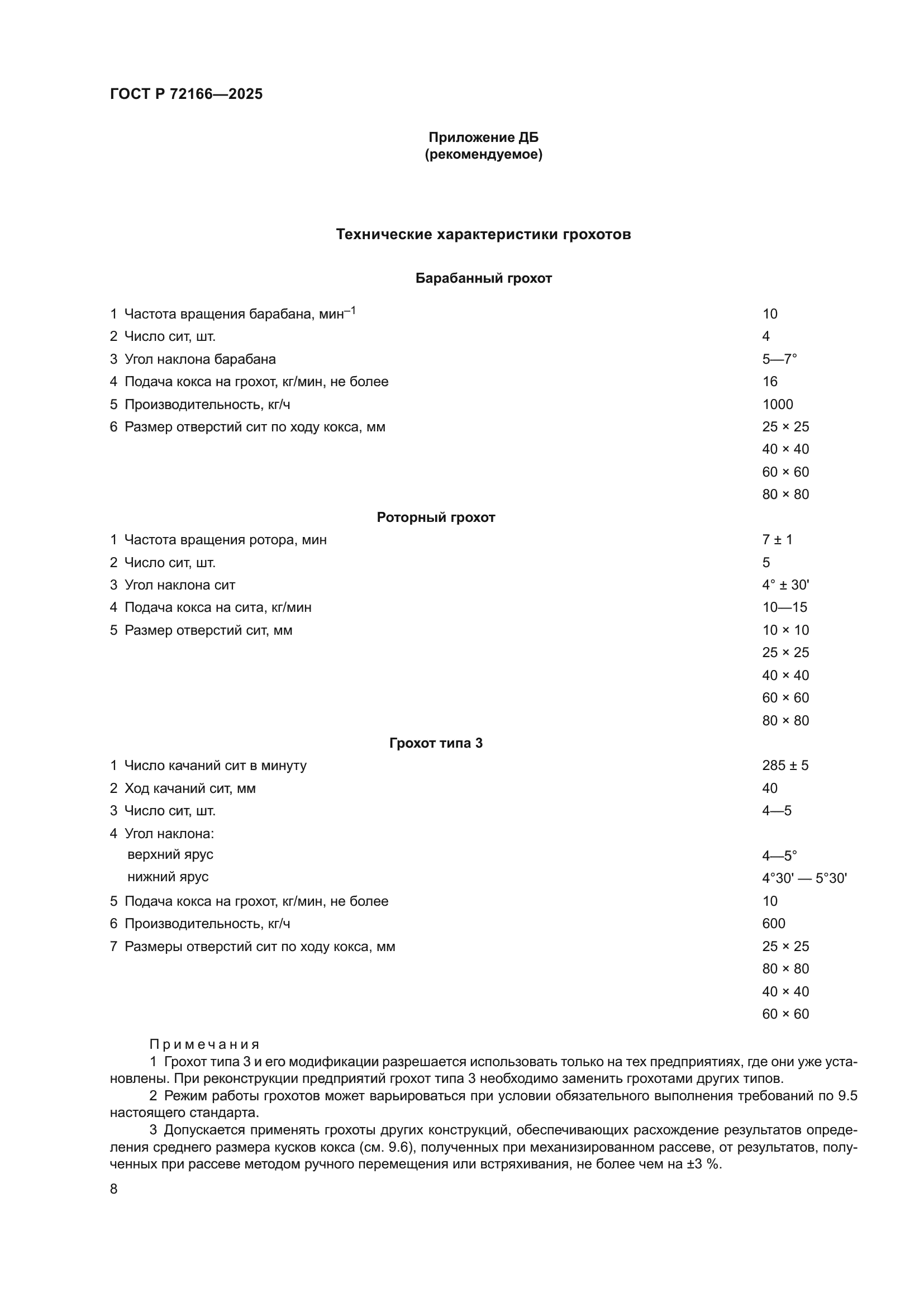
| Область применения: | Настоящий стандарт устанавливает метод определения гранулометрического состава кокса, пекового кокса и термоантрацита класса крупности более 20 мм |
|
| Расположен в: |
|