|
||||||||||||||||||||||||||
| Обозначение: | ![]() ГОСТ Р 71803-2025 |
| Статус: | действует |
| Название рус.: | Аппаратура для измерения электрической энергии переменного тока. Частные требования. Устройства сопряжения |
| Название англ.: | Electricity metering equipment (a.c.). Particular requirements. Merging units |
| Дата актуализации текста: | 01.01.2026 |
| Дата актуализации описания: | 01.01.2026 |
| Дата издания: | 09.09.2025 |
| Дата введения: | 01.12.2025 |
| Нормативные ссылки: | ГОСТ 9.014; ГОСТ 12.1.004; ГОСТ 12.2.003; ГОСТ 26.020; ГОСТ 27.003; ГОСТ 27.301; ГОСТ 1983-2015; ГОСТ 14192; ГОСТ 22261; ГОСТ 27483; ГОСТ 28216; ГОСТ 29037; ГОСТ 30804.4.11; ГОСТ 30804.4.30; ГОСТ 31818.11-2012; ГОСТ 31819.22-2012;ГОСТ IEC 60059;ГОСТ EIC 60255-1-2012;ГОСТ IEC 60255-27-2013;ГОСТ IEC 61000-4-5-2017;ГОСТ IEC 61000-4-8;ГОСТ IEC 61000-4-29;ГОСТ IEC 61000-6-5;ГОСТ IEC 61869-3; ГОСТ Р 2.610; ГОСТ Р 50739; ГОСТ Р 50779.12; ГОСТ Р 51317.4.1; ГОСТ Р 51317.4.3; ГОСТ Р 51317.4.5; ГОСТ Р 51317.4.6; ГОСТ Р 59408; ГОСТ Р 59409; ГОСТ Р МЭК 60044-7; ГОСТ Р МЭК 60044-8; ГОСТ Р МЭК 60950; ГОСТ Р МЭК 61850-7-4; ГОСТ Р МЭК 61869-2; ГОСТ Р МЭК 61869-4; ГОСТ Р МЭК 61869-5; ГОСТ Р МЭК 61869-6-2021; ГОСТ Р МЭК 61869-9-2025 |
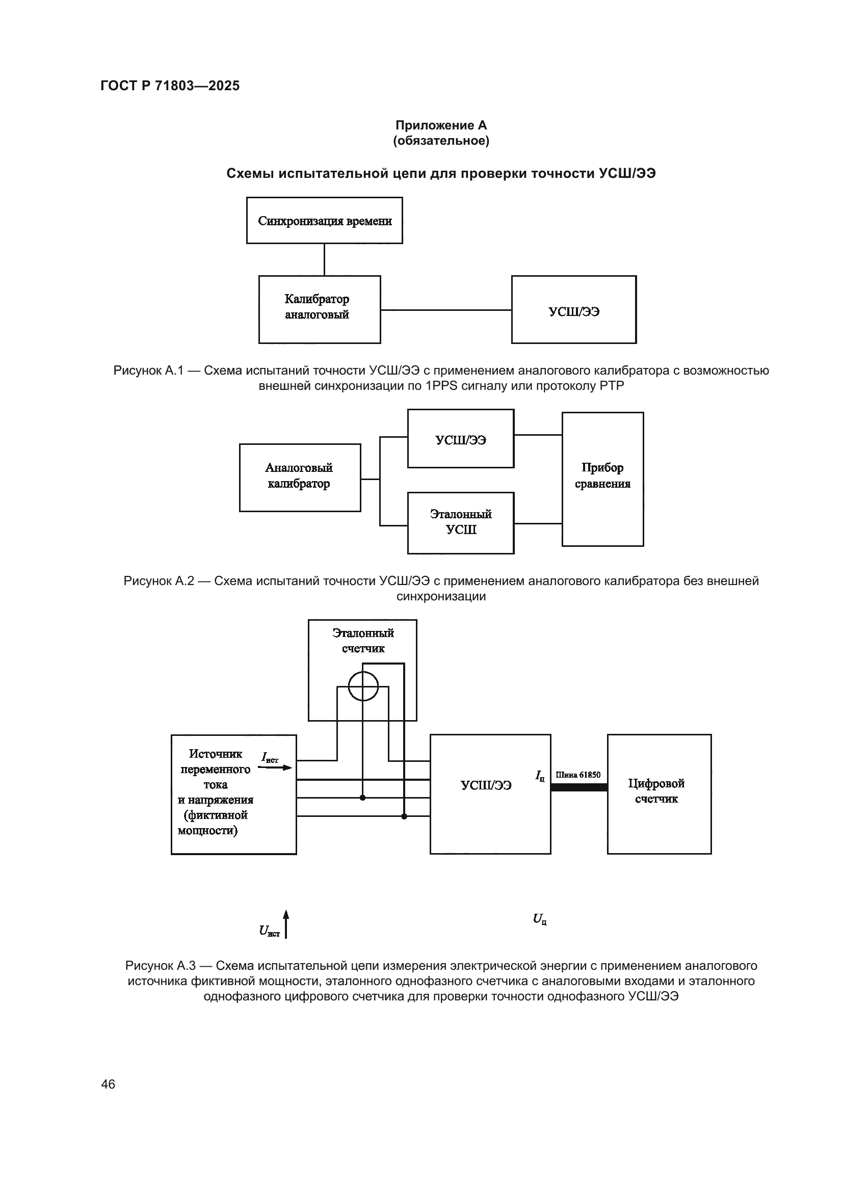
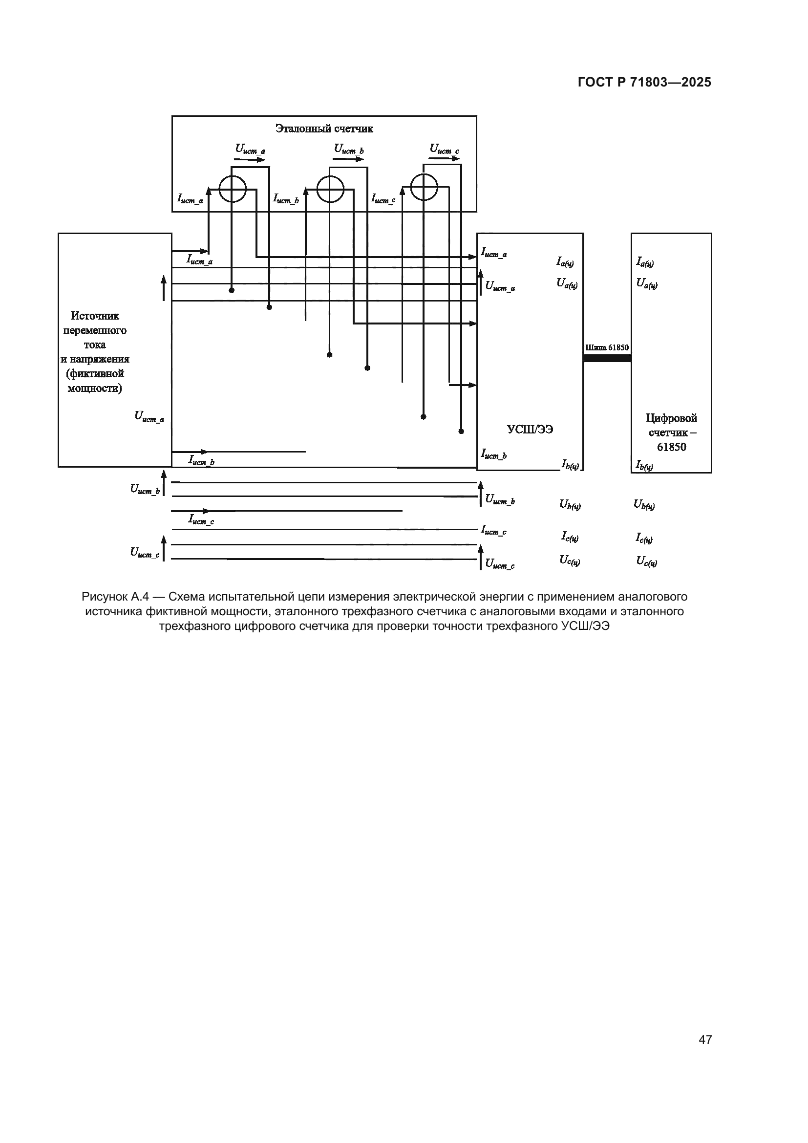
| Область применения: | Настоящий стандарт распространяется на устройства сопряжения с цифровой шиной процесса для их совместной работы с цифровыми приборами учета (счетчиками) электрической энергии, имеющими входы, совместимые с шиной процесса. Устройства сопряжения (с цифровой шиной процесса – 61850) для целей учета электрической энергии (далее - УСШ/ЭЭ) предназначены для преобразования аналоговых электроэнергетических величин в цифровой SV-поток в соответствии с ГОСТ Р МЭК 61869-9 (см. также [1]), являющимся дополнением к серии стандартов [2], [3], с целью их использования совместно с цифровыми счетчиками |
| Расположен в: | |





















































