| Обозначение: |  ГОСТ Р ИСО 10303-61-2025 |
| Статус: | действует |
| Название рус.: | Системы автоматизации производства и их интеграция. Представление данных об изделии и обмен этими данными. Часть 61. Интегрированный обобщенный ресурс. Представление системотехнических данных |
| Название англ.: | Industrial automation systems and integration. Product data representation and exchange. Part 61. Integrated generic resource. Systems engineering representation |
| Дата актуализации текста: | 01.01.2026 |
| Дата актуализации описания: | 01.01.2026 |
| Дата издания: | 05.11.2025 |
| Дата введения: | 01.01.2026 |
| Взамен: | ГОСТ Р ИСО 10303-61-2015 |
| Аутентичен стандартам: | ISO 10303-61:2019 |
| Нормативные ссылки: | ISO 10303-1;ISO 10303-11;ISO 10303-41;ISO 10303-43;ISO 10303-53;ISO 10303-56;ISO 13584-20 |
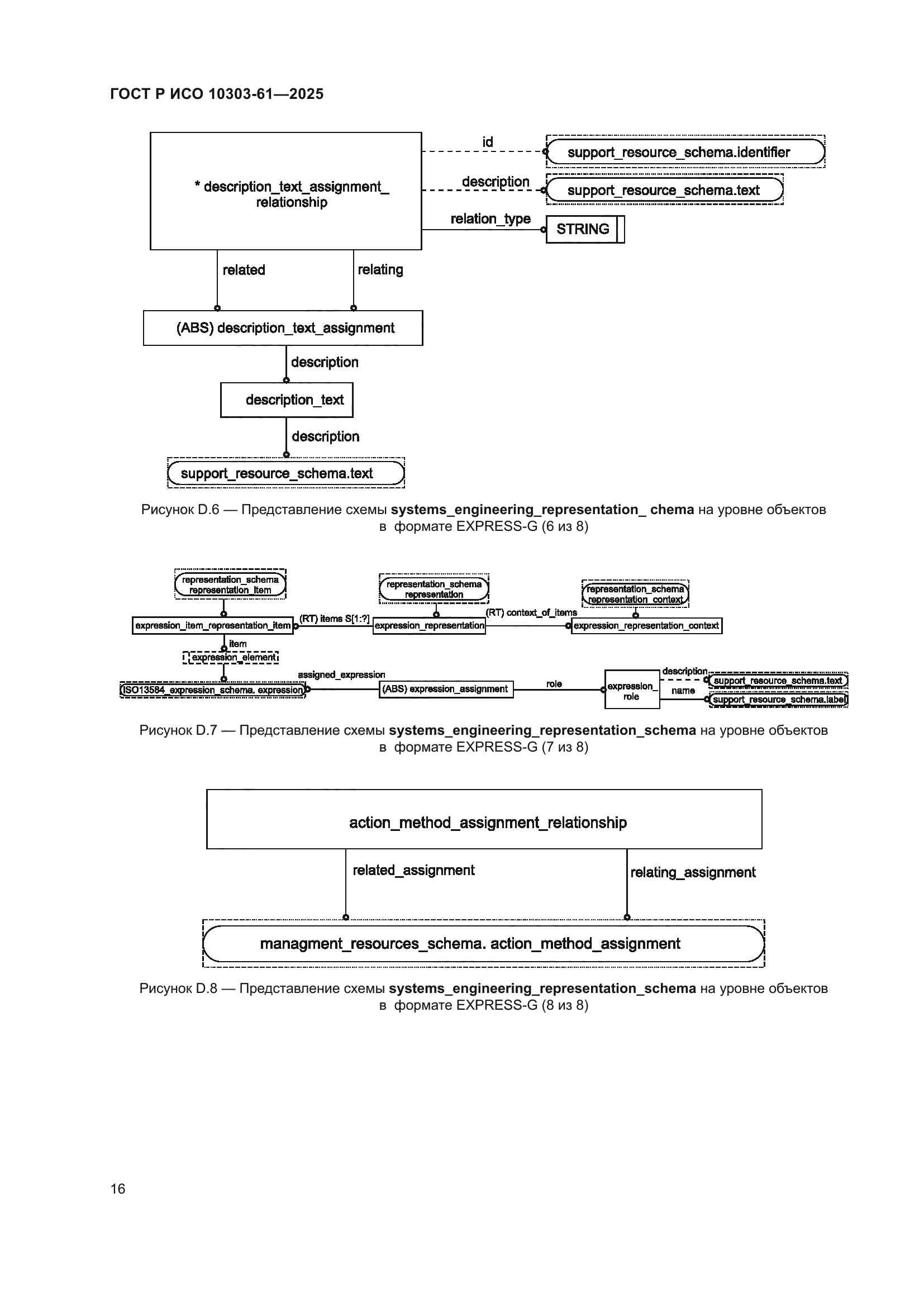
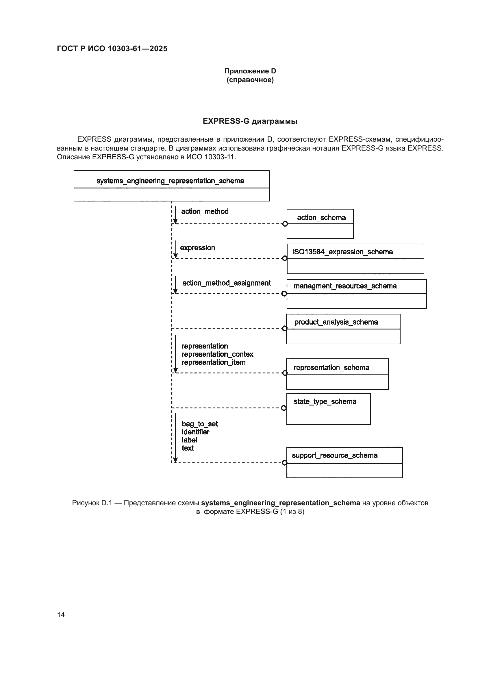
| Область применения: | В настоящем стандарте специфицированы конструкции интегрированных обобщенных ресурсов для представления системотехнических данных. В область применения настоящего стандарта входят: - определение концепций представления поведения, основанных на состояниях; - определение концепций представления поведения, основанных на функциях; - определения концепций представления, основанных на текстовом описании. В область применения настоящего стандарта не входят: - концепции, не связанные с представлением |
|
| Расположен в: |
|