| Обозначение: |  ГОСТ Р 72215-2025 |
| Статус: | принят |
| Название рус.: | Цифровая промышленность. Унифицированная архитектура OPC. Часть 8. Доступ к данным |
| Название англ.: | Digital industry. OPC Unified Architecture. Part 8. Data Access |
| Дата актуализации текста: | 01.01.2026 |
| Дата актуализации описания: | 01.01.2026 |
| Дата издания: | 20.11.2025 |
| Дата введения: | 30.01.2026 |
| Нормативные ссылки: | ГОСТ Р 56214; ГОСТ Р 71808; ГОСТ Р 71809; ГОСТ Р 71810 |
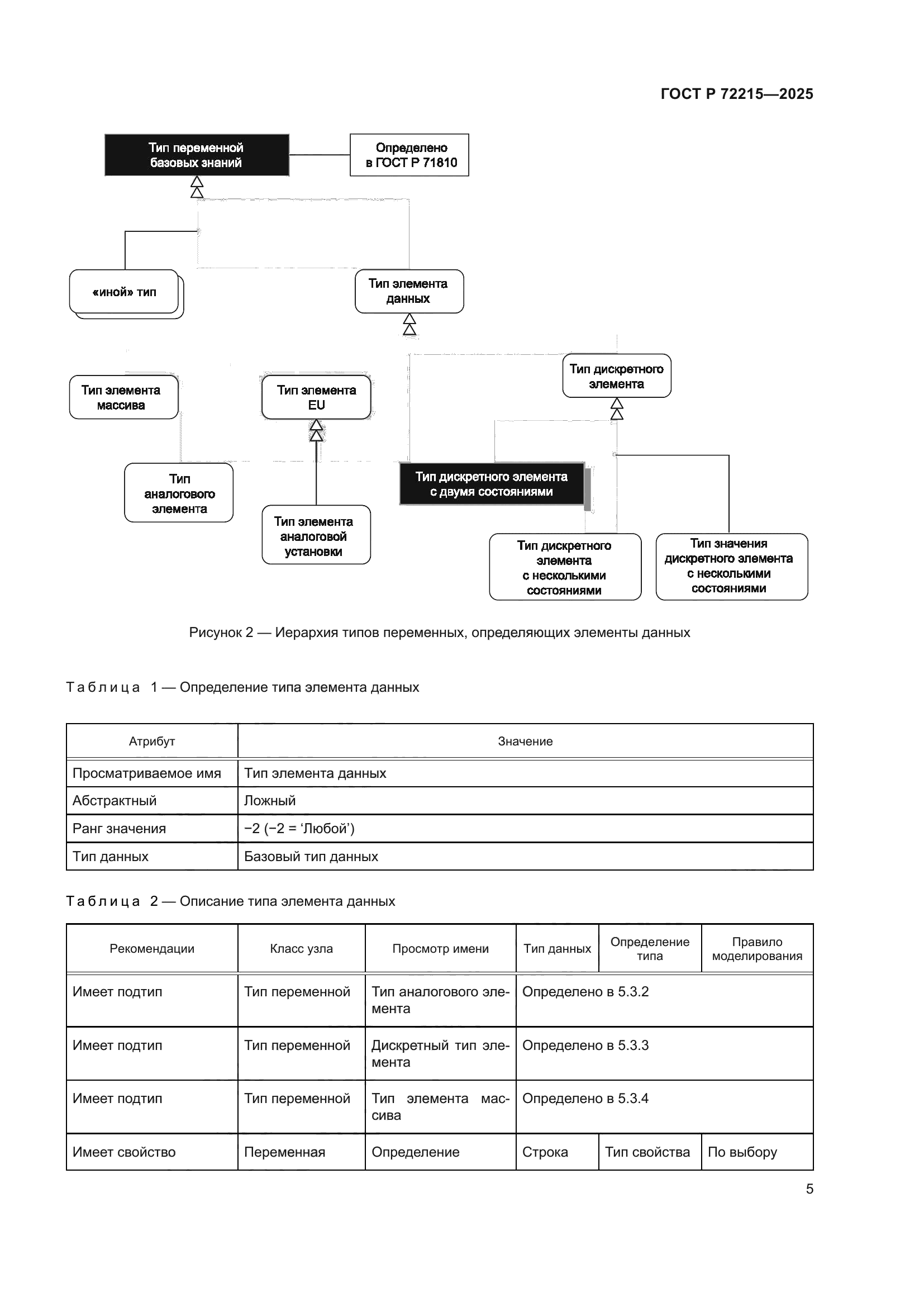
| Область применения: | Настоящий стандарт определяет основные положения в отношении доступа к данным о состоянии средств автоматизации, находящихся на сервере или на платах ввода-вывода, подключенных непосредственно к серверу. Настоящий стандарт определяет основные понятия, концептуальные положения и модели для описания элементов данных и правил доступа к данным для конкретного использования |
|
| Расположен в: |
|