| Обозначение: |  ГОСТ Р 72266-2025 |
| Статус: | принят |
| Название рус.: | Ресурсосбережение. Обращение с отходами. Топливо твердое из коммунальных отходов. Определение содержания биомассы |
| Название англ.: | Resources saving. Waste treatment. Solid recovered fuels. Methods for the determination of biomass content |
| Дата актуализации текста: | 01.01.2026 |
| Дата актуализации описания: | 01.01.2026 |
| Дата издания: | 17.11.2025 |
| Дата введения: | 01.02.2026 |
| Содержит требования: | ISO 21644:2021 |
| Нормативные ссылки: | ГОСТ 33564; ГОСТ Р ИСО 13833 |
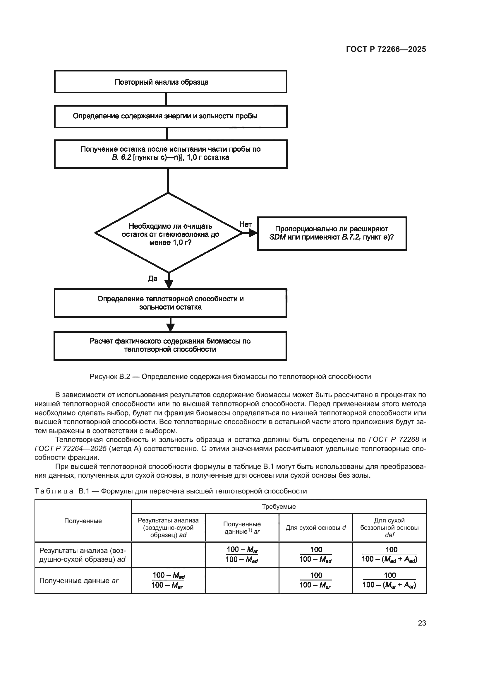
| Область применения: | В настоящем стандарте приведены три метода определения содержания биомассы в твердом восстановленном топливе: метод содержания 14C, метод селективного растворения и метод ручной сортировки |
|
| Расположен в: |
|