На главную | База 1 | База 2 | База 3
Испытания и Сертификация Испытательный центр Орган по сертификации Строительная экспертиза Обследование зданий Тепловизионный контроль Ультразвуковой контроль Проектные работы Контроль качества строительства Нормативные базы Государственные стандартыДекларация о соответствии Единый перечень продукции ТС Классификатор государственных стандартов Общероссийский классификатор стандартов Обязательная сертификация Окп Тематические сборники Технические регламенты РФ Технические регламенты Таможенного союзаСтроительная документацияТехническая документация

ГОСТ Р 72271-2025

Ресурсосбережение. Обращение с отходами. Топливо твердое из коммунальных отходов. Методы подготовки лабораторной пробы

Обозначение: ГОСТ Р 72271-2025
Статус:принят
Название рус.:Ресурсосбережение. Обращение с отходами. Топливо твердое из коммунальных отходов. Методы подготовки лабораторной пробы
Название англ.:Resources saving. Waste treatment. Solid recovered fuels. Sample preparation
Дата актуализации текста:01.01.2026
Дата актуализации описания:01.01.2026
Дата издания:19.11.2025
Дата введения:01.02.2026
Содержит требования:ISO 21646:2022
Нормативные ссылки:ГОСТ 33515;ГОСТ Р 51568;ГОСТ Р 54231;ГОСТ Р 54232;ГОСТ Р 55120;ГОСТ Р 72265;ГОСТ Р 72270;ГОСТ Р 72273
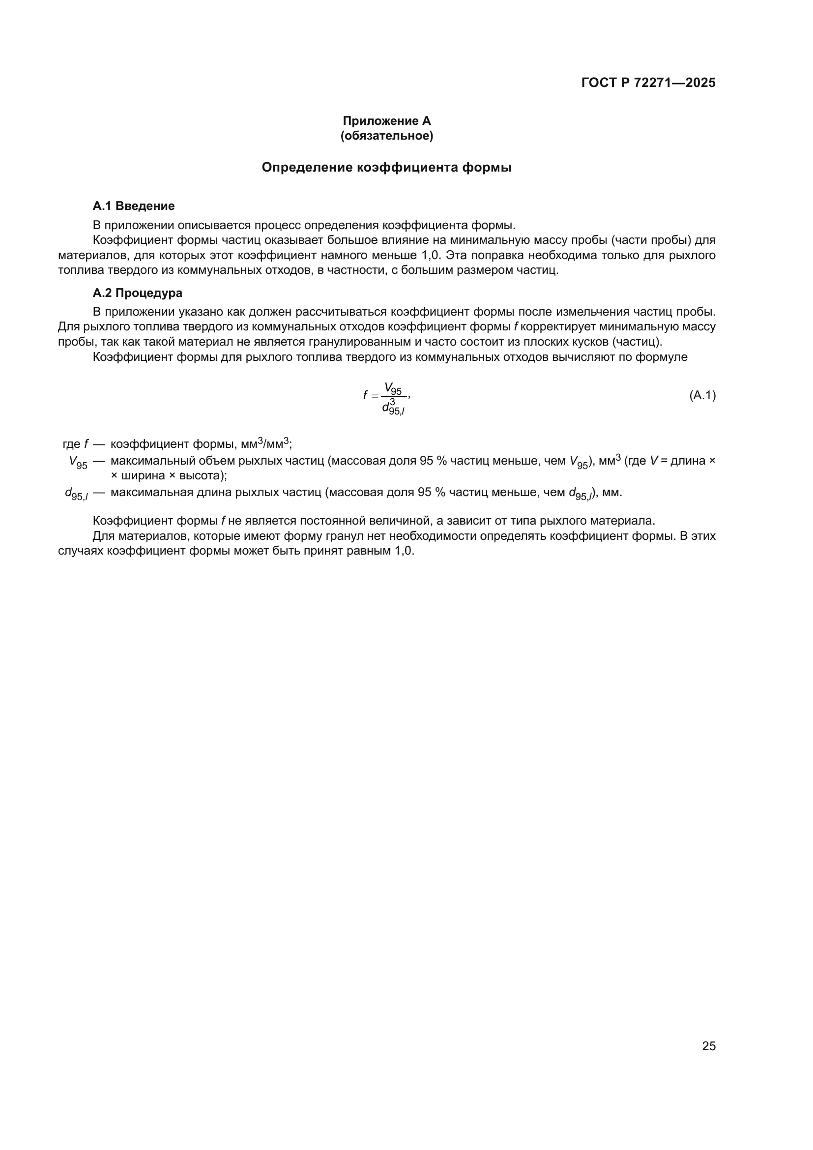
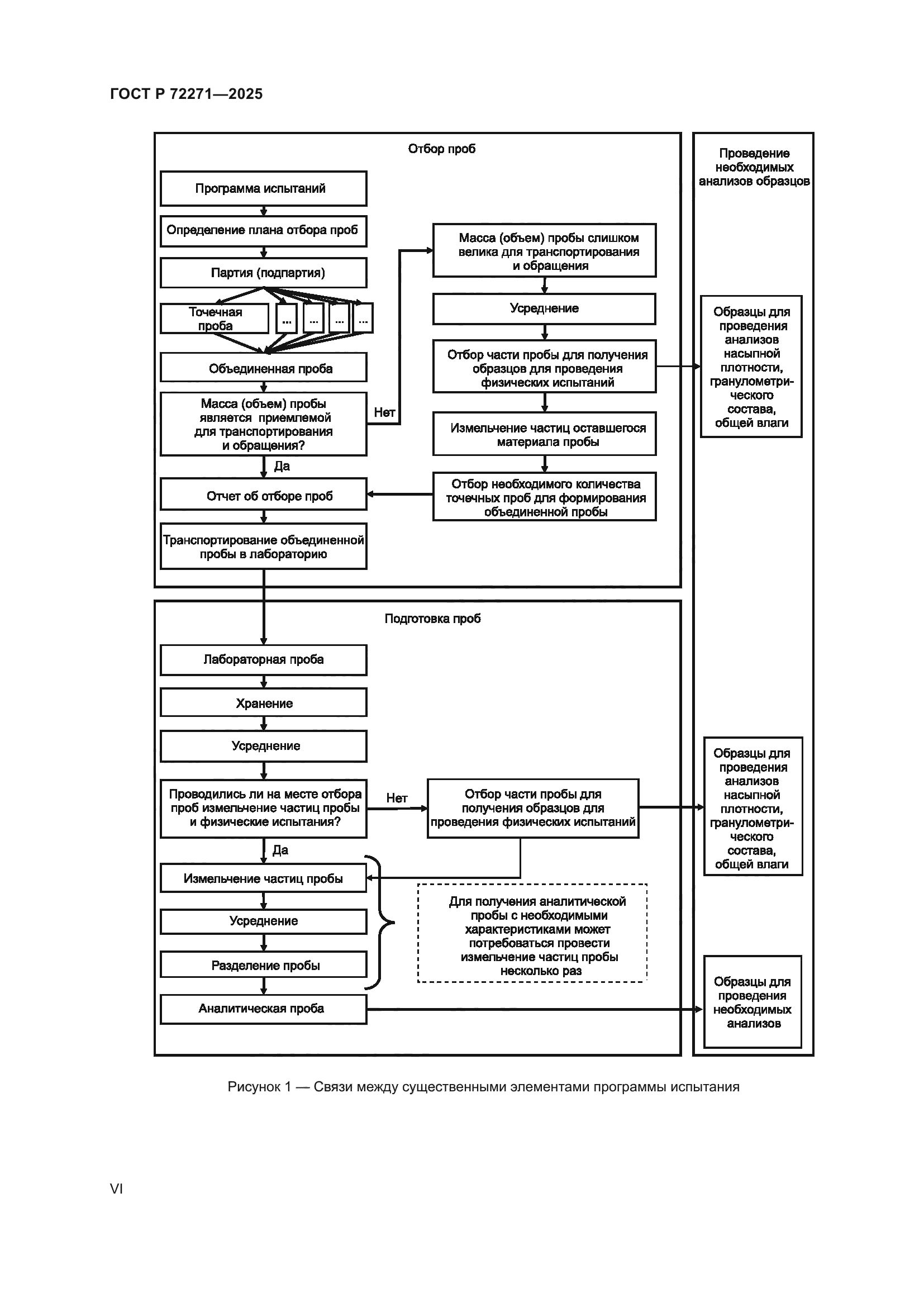
Область применения:Настоящий стандарт описывает методы подготовки проб для обеспечения репрезентативности проб на протяжении всех процедур их подготовки для получения лабораторных проб для общего анализа. Подходящие пробы для испытаний могут быть взяты из лабораторных или аналитических проб и использованы для анализа в соответствии с конкретными требованиями, определенными в соответствующих аналитических процедурах. В настоящем стандарте указана правильная последовательность подготовки проб, которая должна применяться к: a) объединенной пробе для получения лабораторной пробы (с учетом наличия крупных кусков топлива твердого из коммунальных отходов); b) каждому этапу подвыборки на протяжении всей программы испытаний; c) лабораторной пробе для получения подходящих проб для испытаний; d) обеспечению репрезентативности проб для испытаний, которые были взяты в соответствии с планом подготовки образцов, перед проведением физических испытаний и (или) химических анализов (например, экстракцией, вывариванием, аналитическими определениями)
Расположен в:Государственные стандарты Общероссийский классификатор стандартов Охрана окружающей среды, защита человека от воздействия окружающей среды. Безопасность Отходы Отходы, прочие аспекты
ГОСТ Р 72271-2025ГОСТ Р 72271-2025ГОСТ Р 72271-2025ГОСТ Р 72271-2025ГОСТ Р 72271-2025ГОСТ Р 72271-2025ГОСТ Р 72271-2025ГОСТ Р 72271-2025ГОСТ Р 72271-2025ГОСТ Р 72271-2025ГОСТ Р 72271-2025ГОСТ Р 72271-2025ГОСТ Р 72271-2025ГОСТ Р 72271-2025ГОСТ Р 72271-2025ГОСТ Р 72271-2025ГОСТ Р 72271-2025ГОСТ Р 72271-2025ГОСТ Р 72271-2025ГОСТ Р 72271-2025ГОСТ Р 72271-2025ГОСТ Р 72271-2025ГОСТ Р 72271-2025ГОСТ Р 72271-2025ГОСТ Р 72271-2025ГОСТ Р 72271-2025ГОСТ Р 72271-2025ГОСТ Р 72271-2025ГОСТ Р 72271-2025ГОСТ Р 72271-2025ГОСТ Р 72271-2025ГОСТ Р 72271-2025ГОСТ Р 72271-2025ГОСТ Р 72271-2025ГОСТ Р 72271-2025ГОСТ Р 72271-2025ГОСТ Р 72271-2025ГОСТ Р 72271-2025ГОСТ Р 72271-2025ГОСТ Р 72271-2025ГОСТ Р 72271-2025ГОСТ Р 72271-2025ГОСТ Р 72271-2025ГОСТ Р 72271-2025ГОСТ Р 72271-2025ГОСТ Р 72271-2025ГОСТ Р 72271-2025ГОСТ Р 72271-2025ГОСТ Р 72271-2025ГОСТ Р 72271-2025ГОСТ Р 72271-2025ГОСТ Р 72271-2025ГОСТ Р 72271-2025ГОСТ Р 72271-2025ГОСТ Р 72271-2025ГОСТ Р 72271-2025ГОСТ Р 72271-2025ГОСТ Р 72271-2025ГОСТ Р 72271-2025ГОСТ Р 72271-2025ГОСТ Р 72271-2025ГОСТ Р 72271-2025