|
|
 ГОСТ EN 1005-3-2016
Безопасность машин. Физические возможности человека. Часть 3. Рекомендуемые пределы усилий при работе на машинах
| Обозначение: |  ГОСТ EN 1005-3-2016 |
| Статус: | принят |
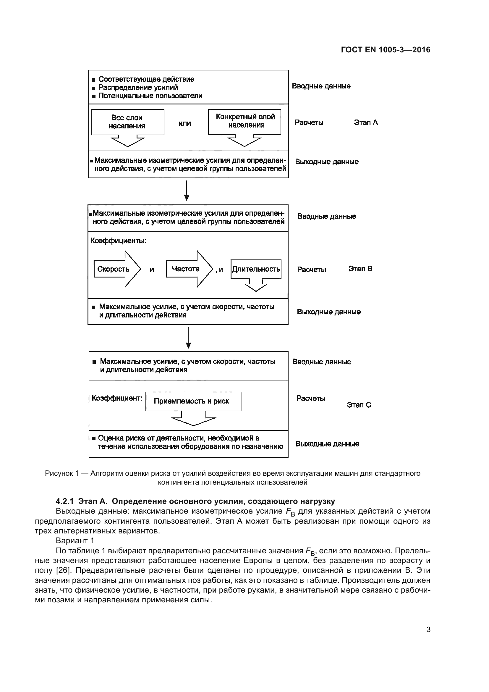
| Название рус.: | Безопасность машин. Физические возможности человека. Часть 3. Рекомендуемые пределы усилий при работе на машинах | | Название англ.: | Safety of machinery. Human physical performance. Part 3. Recommended force limits for machinery operation | | Дата актуализации текста: | 01.01.2026 | | Дата актуализации описания: | 01.01.2026 | | Дата регистрации: | 20.04.2016 | | Дата издания: | 18.12.2025 | | Дата введения: | 01.12.2026 | | Аутентичен стандартам: | EN 1005-3:2002+А1:2008 | | Нормативные ссылки: | EN 614-1:2006;EN 1005-1:2001;EN 1070:1998 | | Область применения: | Настоящий стандарт устанавливает руководство для производителей машин или их комплектующих частей, а также для разработчиков стандартов типа C по экспертной оценке и контролю рисков для здоровья и безопасности, причиной которых являются относящиеся к машине манипуляции, повторяемые с высокой частотой. Настоящий стандарт устанавливает рекомендуемые ограничения по усилиям во время эксплуатации машин, включая конструирование, транспортировку и ввод в эксплуатацию (сборка частей, установка, регулировка), применение (работа, чистка, обнаружение неисправностей, техническое обслуживание, настройка, обучение или процесс замены), вывод из эксплуатации, списание и демонтаж. Настоящий стандарт применяется к машинам, которые были собраны после даты издания стандарта | |
| Расположен в: |
|
                          
|
|