|
||||||||||||||||||||||||||
| Обозначение: | ![]() ГОСТ Р 9.612-2025 |
| Статус: | принят |
| Название рус.: | Единая система защиты от коррозии и старения. Электрохимическая защита. Станции катодной защиты. Общие технические условия |
| Название англ.: | Unified system of corrosion and ageing protection. Electrochemical protection. Cathodic protection stations. General specifications |
| Дата актуализации текста: | 01.01.2026 |
| Дата актуализации описания: | 01.01.2026 |
| Дата издания: | 05.11.2025 |
| Дата введения: | 01.06.2026 |
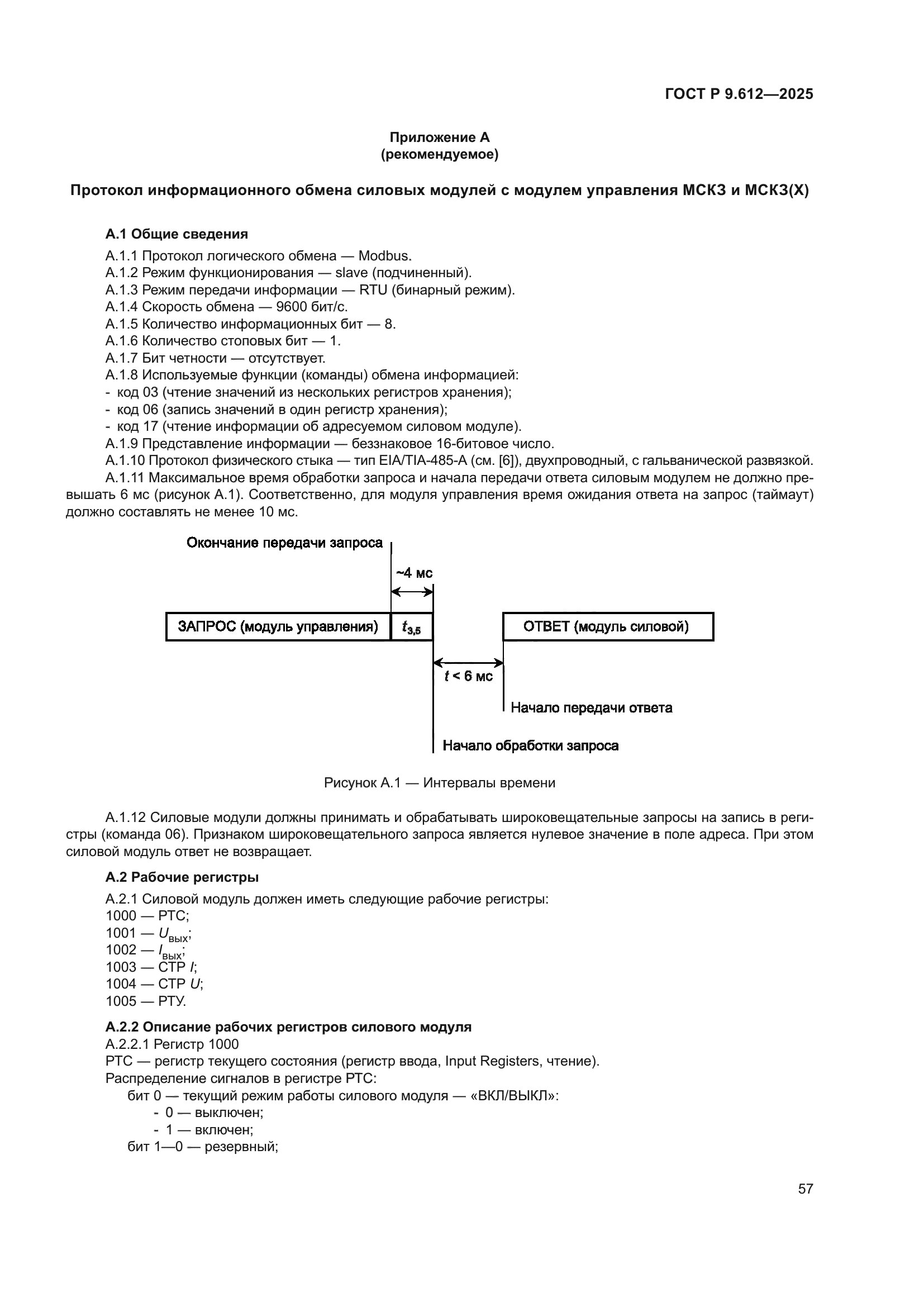
| Нормативные ссылки: | ГОСТ 2.114; ГОСТ 9.602; ГОСТ 12.1.003; ГОСТ 12.1.004; ГОСТ 12.2.007.0; ГОСТ 12.2.007.11; ГОСТ 12.4.026; ГОСТ 15.309; ГОСТ 20.57.406; ГОСТ 26.005; ГОСТ 166; ГОСТ 427; ГОСТ 7502; ГОСТ 8865; ГОСТ 14192; ГОСТ 14254; ГОСТ 15150; ГОСТ 18620; ГОСТ 21130; ГОСТ 23216; ГОСТ 25874; ГОСТ 26567; ГОСТ 26830; ГОСТ 28601.2; ГОСТ 30630.1.2; ГОСТ 30630.2.1; ГОСТ 30631; ГОСТ 30804.4.4-2013; ГОСТ 30804.6.2; ГОСТ 31818.11; ГОСТ 31819.21; ГОСТ 32144; ГОСТ 35094;ГОСТ ISO 3744;ГОСТ IEC 61000-3-2;ГОСТ IEC 61000-3-12;ГОСТ IEC 61000-6-4;ГОСТ IEC 61643-11;ГОСТ IEC 61643-21; ГОСТ Р 2.610; ГОСТ Р 8.568; ГОСТ Р 15.301; ГОСТ Р 27.607; ГОСТ Р 51164; ГОСТ Р 51317.4.5-99; ГОСТ Р 51337; ГОСТ Р 51369; ГОСТ Р 51908; ГОСТ Р 51909; ГОСТ Р 55102; ГОСТ Р ЕН 13018; ГОСТ Р МЭК 60297-3-101;СП 245.1325800;СП 424.1325800 |
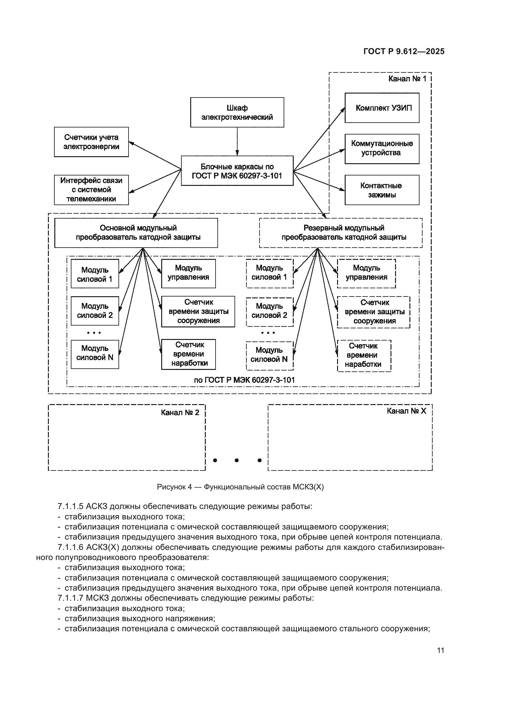
| Область применения: | Настоящий стандарт распространяется на вновь разрабатываемые станции катодной защиты, применяемые в установках катодной защиты для электрохимической защиты наружных поверхностей подземных металлических трубопроводов, сооружений и конструкций различного назначения от подземной (грунтовой) коррозии |
| Расположен в: | |

















































































